精英家教网 > 高中数学 > 题目详情

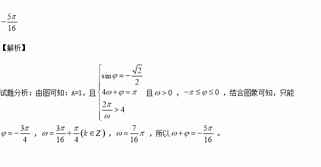
已知函数,且.若的部分图象如下图,且与轴交点,则

练习册系列答案
相关习题

科目:高中数学 来源:2017届宁夏高三上学期月考一数学(文)试卷(解析版) 题型:解答题

已知函数)的图像关于直线x=对称,最大值为3,且图像上相邻两个最高点的距离为

(1)求的最小正周期;

(2)求函数的解析式;

(3)若,求

查看答案和解析>>

科目:高中数学 来源:2016-2017学年河南许昌市五校高二上学期联考一数学(文)试卷(解析版) 题型:解答题

已知函数的部分图象如下图所示.

(1)求函数的解析式;

(2)当,若, 求的值;

(3)若且方程上有解,求实数的取值范围.

查看答案和解析>>

科目:高中数学 来源:2016-2017学年河南许昌市五校高二上学期联考一数学(文)试卷(解析版) 题型:选择题

函数恒过定点为( )

A. B. C. D.

查看答案和解析>>

科目:高中数学 来源:2016-2017学年河南许昌市五校高二上学期联考一数学(理)试卷(解析版) 题型:解答题

如图1,在边长为1的等边三角形中,分别是边上的点,,的中点,交于点,将沿折起,得到如图2所示的三棱锥,其中.

(1) 证明://平面;

(2) 证明:平面;

(3) 当时,求三棱锥的体积.

查看答案和解析>>

科目:高中数学 来源:2016-2017学年河南许昌市五校高二上学期联考一数学(理)试卷(解析版) 题型:选择题

已知,则的值为( )

A. B. C. D.

查看答案和解析>>

科目:高中数学 来源:2016-2017学年河南许昌市五校高二上学期联考一数学(理)试卷(解析版) 题型:选择题

如果一个几何体的三视图如图所示,主视图与左视图是边长为2的正三角形、俯视图轮廓为正方形,(单位:cm),则此几何体的侧面积是( )

A. B.

C.8 D.14

查看答案和解析>>

科目:高中数学 来源:2016-2017学年广东蕉岭县蕉岭中学高二上学期开学考数学(理)试卷(解析版) 题型:选择题

如图,空间四边形OABC中,,点M在OA上,且,点N为BC中点,则等于( )

A. B.

C. D.

查看答案和解析>>

科目:高中数学 来源:2015-2016学年江苏连云港东海县二中高二下期中数学(理)试卷(解析版) 题型:填空题

用反证法证明命题“三角形的3个内角中至少有2个锐角”时,假设的内容是

查看答案和解析>>

同步练习册答案