精英家教网 > 高中数学 > 题目详情

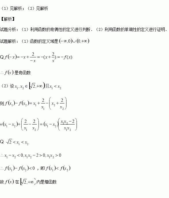
函数

(1)判断的奇偶性,并证明你的结论;

(2)用函数单调性的定义证明函数内是增函数.

练习册系列答案
相关习题

科目:高中数学 来源:2015-2015学年云南省玉溪市高二上学期期中数学试卷(解析版) 题型:选择题

已知等差数列中,是它的前项和,若,则当最大时,的值为( )

A.8 B.9 C.10 D.16

查看答案和解析>>

科目:高中数学 来源:2016届辽宁省抚顺市高三12月月考理科数学试卷(解析版) 题型:选择题

集合,则=( )

A. B. C. D.

查看答案和解析>>

科目:高中数学 来源:2015-2016学年江西省吉安市高二上期中文科数学试卷(解析版) 题型:解答题

已知椭圆C的方程是,点A,B分别是椭圆的长轴的左、右端点,左焦点坐标为,且过点.

(1)求椭圆C的方程;

(2)已知F是椭圆C的右焦点,以AF为直径的圆记为圆M,试问:过P点能否引圆M的切线,若能,求出这条切线与x轴及圆M的弦PF所对的劣弧围成的图形的面积;若不能,说明理由.

查看答案和解析>>

科目:高中数学 来源:2015-2016学年江西省吉安市高二上期中理科数学试卷(解析版) 题型:填空题

已知双曲线的左、右焦点分别为,P是C的右支上一点,且,则的面积是

查看答案和解析>>

科目:高中数学 来源:2015-2016学年安徽省合肥市高一上学期期中数学试卷(解析版) 题型:解答题

(1)计算:

(2)设,求的值.

查看答案和解析>>

科目:高中数学 来源:2015-2016学年广西省钦州市钦南区高二上学期期中考试理科数学试卷(解析版) 题型:填空题

设实数满足 向量.若,则实数的最大值为

查看答案和解析>>

科目:高中数学 来源:2016届北京市朝阳区高三上学期期中统一考试文科数学试卷(解析版) 题型:填空题

若集合{={,则

查看答案和解析>>

科目:高中数学 来源:2016届辽宁省沈阳市高三上学期期中文科数学试卷(解析版) 题型:选择题

是两个不同的平面, 是直线且.“是“”的( )

A.充分而不必要条件 B.充分必要条件

C.必要而不充分条件 D.既不充分也不必要条件

查看答案和解析>>

同步练习册答案