精英家教网 > 高中数学 > 题目详情

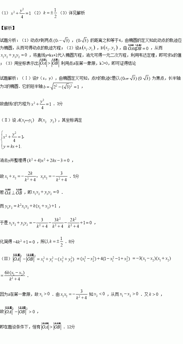
(本题满分12分)在直角坐标系中,点P到两点的距离之和等于4,设点P的轨迹为,直线与C交于A,B两点.

(1)写出C的方程;

(2)若,求k的值;

(3)若点A在第一象限,证明:当k>0时,恒有||>||.

练习册系列答案
相关习题

科目:高中数学 来源:2016届河南省原名校高三上学期第一次联考文科数学试卷(解析版) 题型:选择题

对任意实数定义运算“”:,设,若函数有三个零点,则的取值范围是( )

A. B. C. D.

查看答案和解析>>

科目:高中数学 来源:2015-2016学年辽宁省大连市高二10月月考数学试卷(解析版) 题型:选择题

为了研究某药品的疗效,选取若干名志愿者进行临床试验,所有志愿者的舒张压数据(单位:kPa)的分组区间为:[12,13),[13,14),[14,15),[15,16),[16,17],将其按从左到右的顺序分别编号为第一组,第二组,,第五组,右图是根据试验数据制成的频率分布直方图,已知第一组与第二组共有20人,第三组中没有疗效的有6人,则第三组中有疗效的人数为( )

A.6 B.8 C.12 D.18

查看答案和解析>>

科目:高中数学 来源:2015-2016学年湖北省高二上学期期中理科数学试卷(解析版) 题型:选择题

要从已编号(1-60)的60枚最新研制的某型导弹中随机抽取6枚来进行发射试验,用每部分选取的号码间隔一样的系统抽样方法确定所选取的枚导弹的编号可能是( )

A. B.

C. D.

查看答案和解析>>

科目:高中数学 来源:2015-2016学年河南省英文学校高一上学期期中考试数学试卷(解析版) 题型:解答题

(本小题满分12分)化简求值:

(Ⅰ)

(Ⅱ)

查看答案和解析>>

科目:高中数学 来源:2015-2016学年广东省普宁市高一上学期期中考试数学试卷(解析版) 题型:解答题

(本小题满分14分) 已知函数f(x)= (a>0且a≠1).

(1)求f(x)的定义域和值域;

(2)讨论f(x)的奇偶性;

(3)讨论f(x)的单调性.

查看答案和解析>>

科目:高中数学 来源:2015-2016学年甘肃省定西市高一上学期第一次月考数学试卷(解析版) 题型:选择题

函数在区间[2,5)上的最大值、最小值别是( )

A.,4

B.无最大值,最小值7

C.4,0

D.最大值4,无最小值

查看答案和解析>>

科目:高中数学 来源:2016届浙江省高三10月月考文科数学试卷(解析版) 题型:选择题

已知分别是双曲线的左、右焦点,为坐标原点,为双曲线右支上的一点, 与以为圆心,为半径的圆相切于点,且 恰好是的中点,则双曲线的离心率为( )

A. B. C. D.

查看答案和解析>>

科目:高中数学 来源:2015-2016学年河北省高一上学期第一次月考数学试卷(解析版) 题型:填空题

函数是偶函数,则的递减区间是______.

查看答案和解析>>

同步练习册答案