精英家教网 > 高中数学 > 题目详情

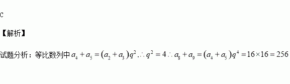
在等比数列中,若( )

A.128 B.-128 C.256 D.-256

练习册系列答案
相关习题

科目:高中数学 来源:2016届四川省高三上学期10月段考文科数学试卷(解析版) 题型:选择题

设x∈R,则“l<x<2”是“l<x<3”的( )

A.充分而不必要条件

B.必要而不充分条件

C.充要条件

D.既不充分也不必要条件

查看答案和解析>>

科目:高中数学 来源:2016届湖北省、宜昌一中高三10月联考理科数学试卷(解析版) 题型:解答题

(本小题满分12分)如图中,已知点边上,且

(Ⅰ)求的长;

(Ⅱ)求

查看答案和解析>>

科目:高中数学 来源:2015-2016学年江西省南昌市高一上学期期中考试数学试卷(解析版) 题型:选择题

已知是偶函数,且,那么的值为( ).

A、5 B、10 C 、8 D、不确定

查看答案和解析>>

科目:高中数学 来源:2015-2016学年甘肃省嘉峪关市高二上学期期中考试理科数学试卷(解析版) 题型:解答题

(本小题满分12分)函数,数列满足

(1)求证:数列是等差数列;

(2)令,若对一切成立,求最小正整数

查看答案和解析>>

科目:高中数学 来源:2016届浙江宁波效实中学高三上期中考试理科数学试卷(解析版) 题型:解答题

为等差数列的前项和,已知

(1)求数列的通项公式

(2)求证:

查看答案和解析>>

科目:高中数学 来源:2016届山东省高三第二次诊断性考试文科数学试卷(解析版) 题型:解答题

(本小题满分12分)

已知命题方程上有解,命题只有一个实数满足不等式,若命题“”是假命题,求实数的取值范围.

查看答案和解析>>

科目:高中数学 来源:2016届河南省原名校高三上学期第一次联考文科数学试卷(解析版) 题型:解答题

(本小题满分12分)已知函数为切点的切线方程是

(1)求实数的值;

(2)若方程上有两个不等实根,求实数的取值范围.

查看答案和解析>>

科目:高中数学 来源:2015-2016学年福建省师大附高二上期中理科数学试卷(解析版) 题型:选择题

中,内角所对的边分别为,已知,为使此三角形有两个,则满足的条件是( )

A. B.

C. D.

查看答案和解析>>

同步练习册答案