精英家教网 > 高中数学 > 题目详情

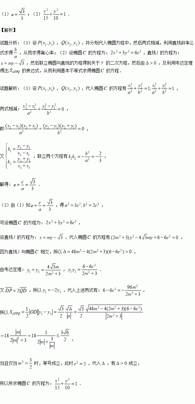
椭圆,作直线交椭圆于两点,为线段的中点,为坐标原点,设直线的斜率为,直线的斜率为

(1)求椭圆的离心率;

(2)设直线轴交于点,且满足,当的面积最大时,求椭圆的方程.

练习册系列答案
相关习题

科目:高中数学 来源:2016届上海市七校高三上12月联考理科数学试卷(解析版) 题型:填空题

(2015秋•上海月考)已知f(x)=kx﹣|x﹣1|有两个不同的零点,则实数k的取值范围是

查看答案和解析>>

科目:高中数学 来源:2016届江苏省盐城市高三上12月月测数学试卷(解析版) 题型:填空题

(2015秋•盐城校级月考)已知集合A={1,0,﹣e,﹣2i2}(i是虚数单位),B={x|x2﹣1>0},则A∩B=

查看答案和解析>>

科目:高中数学 来源:2016届河南省高三上第八次月考数学试卷(解析版) 题型:解答题

(2012•福州模拟)如图,三棱柱ABC﹣A1B1C1中,AA1⊥平面ABC,∠BAC=90°,AB=2,AC=6,点D在线段BB1上,且BD=,A1C∩AC1=E.

(Ⅰ)求证:直线DE与平面ABC不平行;

(Ⅱ)设平面ADC1与平面ABC所成的锐二面角为θ,若cosθ=,求AA1的长;

(Ⅲ)在(Ⅱ)的条件下,设平面ADC1∩平面ABC=l,求直线l与DE所成的角的余弦值.

查看答案和解析>>

科目:高中数学 来源:2016届重庆市高三上学期一诊模拟理科数学试卷(解析版) 题型:填空题

二项式的展开式中,二项式系数最大的项是第4项,则其展开式中的常数项是_________.

查看答案和解析>>

科目:高中数学 来源:2015-2016学年四川省高二上周末练习理科数学卷(解析版) 题型:解答题

如图,正方体棱长为8,分别为中点,分别为棱上动点,且.

(1)求长的取值范围;

(2)当取得最小值时,求证:共面;并求出此时的交点到直线的距离.

查看答案和解析>>

科目:高中数学 来源:2016届河北省高三上学期周日测试理科数学试卷(解析版) 题型:解答题

已知函数

(1)时,证明:

(2),若,求的取值范围.

查看答案和解析>>

科目:高中数学 来源:2016届黑龙江省高三12月考理科数学试卷(解析版) 题型:选择题

是第三象限的角,则( )

A. B. C. D.

查看答案和解析>>

科目:高中数学 来源:2015-2016学年辽宁省高二上10月月考文科数学试卷(解析版) 题型:解答题

(2015秋•沈阳校级月考)某企业为了解下属某部门对本企业职工的服务情况,随机访问50名职工,根据这50名职工对该部门的评分,绘制频率分布直方图(如图所示),其中样本数据分组区间为[40,50],[50,60],…,[80,90],[90,100]

(Ⅰ)求频率分布图中a的值;

(Ⅱ)估计该企业的职工对该部门评分不低于80的概率;

(Ⅲ)求出本次评分的众数、中位数、平均数.

查看答案和解析>>

同步练习册答案