精英家教网 > 高中数学 > 题目详情

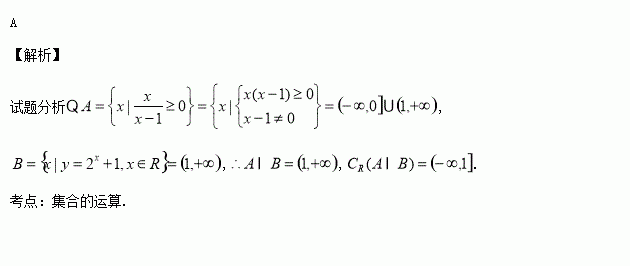
已知集合,则

A. B. C. D.

练习册系列答案
相关习题

科目:高中数学 来源:2014-2015学年上海市闵行区高三下学期质量调研考试(二模)文科数学试卷(解析版) 题型:填空题

已知等比数列满足,则

查看答案和解析>>

科目:高中数学 来源:2014-2015学年山东省文登市高三第二次模拟考试文科数学试卷(解析版) 题型:选择题

双曲线的离心率,则以双曲线的两条渐近线与抛物线的交点为顶点的三角形的面积为

A. B. C. D.

查看答案和解析>>

科目:高中数学 来源:2014-2015学年山东省文登市高三第二次模拟考试理科数学试卷(解析版) 题型:填空题

二项式的展开式中只有第六项的二项式系数最大,则展开式中常数项是 .

查看答案和解析>>

科目:高中数学 来源:2014-2015学年山东省文登市高三第二次模拟考试理科数学试卷(解析版) 题型:选择题

满足约束条件,若目标函数 的最大值为,则的图 象向右平移后的表达式为

A. B.

C. D.

查看答案和解析>>

科目:高中数学 来源:2014-2015学年江苏高考南通密卷三数学试卷(解析版) 题型:解答题

(选修4-2:矩阵与变换)已知矩阵,其中均为实数,若点在矩阵的变换作用下得到点,求矩阵的特征值.

查看答案和解析>>

科目:高中数学 来源:2014-2015学年江苏高考南通密卷三数学试卷(解析版) 题型:解答题

(本小题满分14分)如图,在平面上,点,点在单位圆上,

(1)若点,求的值;

(2)若,求.

查看答案和解析>>

科目:高中数学 来源:2014-2015学年江苏高考南通密卷二数学试卷(解析版) 题型:解答题

(选修4-5:不等式选讲)

设正数满足,求的最小值.

查看答案和解析>>

科目:高中数学 来源:2014-2015学年广东省深圳市高三第二次调研考试文科数学试卷(解析版) 题型:选择题

命题,则

A. B.

C. D.

查看答案和解析>>

同步练习册答案