精英家教网 > 高中数学 > 题目详情

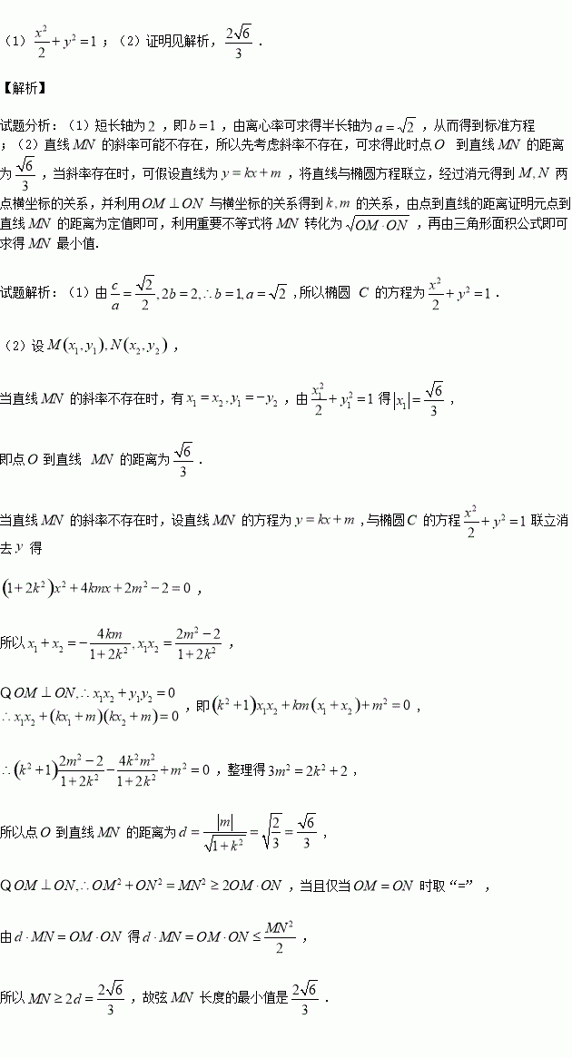
已知椭圆的短轴长为,离心率为为坐标原点.

(1)求的方程;

(2)过作两条相互垂直的射线,与椭圆分别交于 两点,求证:点到直线的距离为定值,并求弦长度的最小值.

练习册系列答案
相关习题

科目:高中数学 来源:2015-2016学年河北石家庄辛集中学高二下期中理数学卷(解析版) 题型:解答题

为了响应政府“节能、降耗、减排、增效”的号召,某工厂决定转产节能灯,现有A、B两种型号节能灯的生产线.在这两种生产线的大量产品中各随机抽取100个进行质量评估,经检测,综合得分情况如下面的频率分布直方图:

产品级别划分以及利润率如右表,其中;将频率视为概率.

(Ⅰ)在A型节能灯中按产品级别用分层抽样的方法抽取10个,在这10个节能灯中随机抽取3个,至少有2个一级品的概率是多少?

(Ⅱ)从长期来看,投资哪种型号的节能灯的平均利润率较大?

查看答案和解析>>

科目:高中数学 来源:2015-2016学年山东省高二下期中文科数学试卷(解析版) 题型:选择题

曲线在点处切线的斜率为( )

A. B.1 C.-1 D.

查看答案和解析>>

科目:高中数学 来源:2015-2016学年山东省高二下期中理科数学试卷(解析版) 题型:选择题

观察下列各式:,则的末四位数为( )

A.3125 B.5624 C.0625 D.8125

查看答案和解析>>

科目:高中数学 来源:2015-2016学年山东省高二下期中理科数学试卷(解析版) 题型:选择题

在复平面内,复数对应的点位于( )

A.第二象限 B.第三象限 C.第四象限 D.第一象限

查看答案和解析>>

科目:高中数学 来源:2016届海南师大附中高三第九次月考理科数学试卷(解析版) 题型:填空题

给出下列四个结论:

(1)如果的展开式中各项系数之和为,则展开式中的系数是

(2)用相关指数 来刻画回归效果, 的值越大,说明模型的拟合效果越差;

(3)若是定义在上的奇函数,且满足 ,则函数的图像关于对称;

(4)已知随机变量服从正态分布,则

其中正确结论的序号为

查看答案和解析>>

科目:高中数学 来源:2016届海南师大附中高三第九次月考理科数学试卷(解析版) 题型:选择题

如图,正方形的边长为,记曲线和直线所围成的图形(阴影部分)为,若向正方形内任意投一点M ,则点M 落在区域内的概率为( )

A. B. C. D.

查看答案和解析>>

科目:高中数学 来源:2016届海南师大附中高三第九次月考文科数学试卷(解析版) 题型:填空题

中,,点满足,则

查看答案和解析>>

科目:高中数学 来源:2015-2016学年福建省高一下周练数学试卷(解析版) 题型:解答题

为了研究三月下旬的平均气温()与四月棉花害虫化蛹高峰日()的关系,某地区观察了年至年的情况,得到下面数据:

已知之间具有线性相关关系,据气象预测该地区在年三月下旬平均气温为,试估计年四月化蛹高峰日为哪天?

查看答案和解析>>

同步练习册答案