精英家教网 > 高中数学 > 题目详情

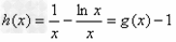
已知函数

(Ⅰ)讨论函数在定义域内的极值点的个数;

(Ⅱ)若函数处取得极值,且对,恒成立,

求实数的取值范围;

(Ⅲ)当时,试比较的大小.


解:(Ⅰ)
时,上恒成立,函数单调递减,
上没有极值点;
时,
上递减,在上递增,即处有极小值.
∴当上没有极值点,
时,上有一个极值点.……… 4分
(Ⅱ)∵函数处取得极值,


,可得上递减,在上递增,
,即.……… 9分
(Ⅲ)解:令
由(Ⅱ)可知上单调递减,则上单调递减
∴当时,>,即
时,

时,
          ……… 14分           


练习册系列答案
相关习题

科目:高中数学 来源: 题型:


查看答案和解析>>

科目:高中数学 来源: 题型:


已知是定义在R上的奇函数,当则实数的取值范围是           

查看答案和解析>>

科目:高中数学 来源: 题型:


如图过拋物线y2=2px(p>0)的焦点F的直线依次交拋物线及准线于点ABC,若|BC|=2|BF|,且|AF|=3,则拋物线的方程为(  )

A.              B 

C.                 D.[]

查看答案和解析>>

科目:高中数学 来源: 题型:


 “双曲线)的两个焦点为,若为其上一点,且,则双曲线离心率的取值范围为:A.(1,3);B.(1,3];C.(3,+∞);D.[3,+∞)”其正确选项是B。若将其中的条件“”更换为“”,试经过合情推理,得出双曲线离心率的取值范围是       

查看答案和解析>>

科目:高中数学 来源: 题型:


已知随机变量服从正态分布,则(    )

A.     B.     C.       D.

查看答案和解析>>

科目:高中数学 来源: 题型:


已知直线与曲线有公共点,则的取值范围为(     )

A.     B.   C.    D.

查看答案和解析>>

科目:高中数学 来源: 题型:


已知表示两条不同直线,表示平面,下列说法正确的是(   )

A.若,则              B.若,则

C.若,则            D.若,则

查看答案和解析>>

科目:高中数学 来源: 题型:


阅读右面的程序框图,若使输出的结果不大于,则输入的整数的最大值是               

查看答案和解析>>

同步练习册答案