精英家教网 > 高中数学 > 题目详情

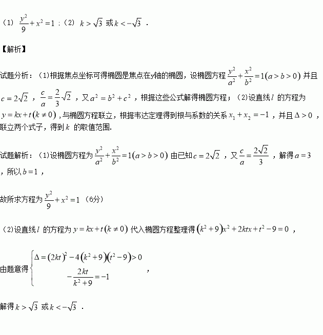
已知椭圆的中心在原点,焦点为,且离心率

(1)求椭圆的方程;

(2)直线(与坐标轴不平行)与椭圆交于不同的两点,且线段中点的横坐标为,求直线斜率的取值范围.

练习册系列答案
相关习题

科目:高中数学 来源:2015-2016学年辽宁省分校高一下学期期末数学试卷(解析版) 题型:选择题

某公司的班车在7:30,8:00,8:30发车,小明在7:50至8:30之间到达发车站乘坐班车,且到达发车站的时刻是随机的,则他等车时间不超过10分钟的概率是( )

A. B. C. D.

查看答案和解析>>

科目:高中数学 来源:2015-2016学年江苏省高二下学期期中数学(理)试卷(解析版) 题型:填空题

在正四面体ABCD中,点E为BC的中点,F为AD的中点,则异面直线AE与CF所成角的余弦值为

查看答案和解析>>

科目:高中数学 来源:2017届河北衡水中学高三9月联考摸底全国卷数学(文)试卷(解析版) 题型:选择题

已知函数,则关于的方程,当的实根个数为( )

A.5 B.6 C.7 D.8

查看答案和解析>>

科目:高中数学 来源:2017届河北衡水中学高三9月联考摸底全国卷数学(文)试卷(解析版) 题型:选择题

若直线和圆没有交点,则过点的直线与椭圆的交点个数为( )

A.0个 B.至多一个 C.1个 D.2个

查看答案和解析>>

科目:高中数学 来源:2016-2017学年河北武邑中学高二9月月考数学(文)试卷(解析版) 题型:解答题

已知,若的充分不必要条件,求实数的取值范围.

查看答案和解析>>

科目:高中数学 来源:2016-2017学年河北武邑中学高二9月月考数学(文)试卷(解析版) 题型:选择题

,则“”是“直线垂直”的( )

A.充分不必要条件 B.必要不充分条件

C.充要条件 D.既不充分也不必要条件

查看答案和解析>>

科目:高中数学 来源:2016-2017学年河北武邑中学高二9月月考数学(理)试卷(解析版) 题型:填空题

椭圆上的点到直线的距离的最大值为___________.

查看答案和解析>>

科目:高中数学 来源:2015-2016学年西藏林芝市高二下学期期末数学(理)试卷(解析版) 题型:解答题

展开式的:

(1)第6项的二项式系数;

(2)第3项的系数;

查看答案和解析>>

同步练习册答案