精英家教网 > 高中数学 > 题目详情
设数列{an}的前n项和Sn=,n=1,2,3,…
(1)求首项a1与通项an
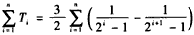
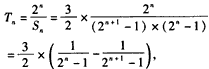
(2),n=1,2,3,…,证明:
解:(1)由

所以a1=2
再由①有

将①和②相减得

整理得an+2n=4(an-1+2n-1),n=2,3,…,
因而数列{an+2n}是首项为a1+2 =4,公比为4的等比数列,
即an+2n=4×4n-1=4n,n=1,2,3,…,
因而an=4n-2n,n=1,2,3,…。
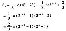
(2)将an=4n-2n代入①得


所以
练习册系列答案
相关习题

科目:高中数学 来源: 题型:

设数列{an}的前n项的和为Sn,且Sn=3n+1.
(1)求数列{an}的通项公式;
(2)设bn=an(2n-1),求数列{bn}的前n项的和.

查看答案和解析>>

科目:高中数学 来源: 题型:

设数列an的前n项的和为Sna1=
3
2
Sn=2an+1-3

(1)求a2,a3
(2)求数列an的通项公式;
(3)设bn=(2log
3
2
an+1)•an
,求数列bn的前n项的和Tn

查看答案和解析>>

科目:高中数学 来源: 题型:

设数列{an}的前n项和Sn=2an+
3
2
×(-1)n-
1
2
,n∈N*
(Ⅰ)求an和an-1的关系式;
(Ⅱ)求数列{an}的通项公式;
(Ⅲ)证明:
1
S1
+
1
S2
+…+
1
Sn
10
9
,n∈N*

查看答案和解析>>

科目:高中数学 来源: 题型:

不等式组
x≥0
y≥0
nx+y≤4n
所表示的平面区域为Dn,若Dn内的整点(整点即横坐标和纵坐标均为整数的点)个数为an(n∈N*
(1)写出an+1与an的关系(只需给出结果,不需要过程),
(2)求数列{an}的通项公式;
(3)设数列an的前n项和为SnTn=
Sn
5•2n
,若对一切的正整数n,总有Tn≤m成立,求m的范围.

查看答案和解析>>

科目:高中数学 来源: 题型:

(2013•郑州一模)设数列{an}的前n项和Sn=2n-1,则
S4
a3
的值为(  )

查看答案和解析>>

同步练习册答案