精英家教网 > 高中数学 > 题目详情

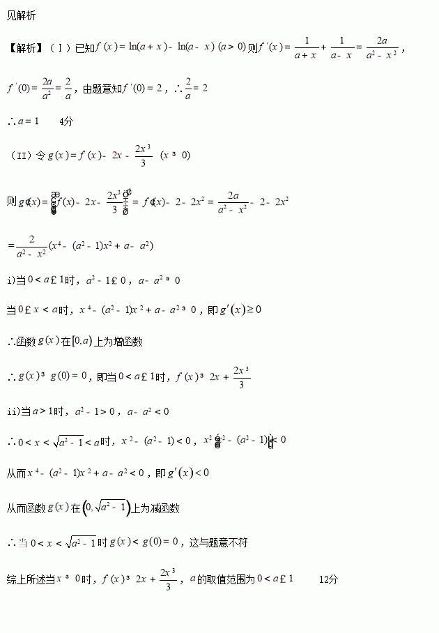
已知函数曲线在点处的切线方程为

(1),求的值;

(2)求证:当时,

练习册系列答案
相关习题

科目:高中数学 来源:2014-2015学年天津市南开区高三一模文科数学试卷(解析版) 题型:选择题

已知双曲线的一条渐近线方程是,它的一个焦点在抛物线的准线上,则双曲线的方程为( ).

(A)4x2–12y2=1 (B)4x2–y2=1

(C)12x2–4y2=1 (D)

查看答案和解析>>

科目:高中数学 来源:2014-2015学年四川省资阳市高三第三次模拟考试文科数学试卷(解析版) 题型:选择题

设实数x,y满足的取值范围是( )

(A) (B)

(C) (D)

查看答案和解析>>

科目:高中数学 来源:2014-2015学年四川省资阳市高三第三次模拟考试理科数学试卷(解析版) 题型:选择题

如图,已知双曲线的左、右焦点分别为F1、F2,|F1F2|=8,P是双曲线右支上的一点,直线F2P与y轴交于点A,△APF1的内切圆在边PF1上的切点为Q,若|PQ|=2,则该双曲线的离心率为( )

(A) (B)

(C)2 (D)3

查看答案和解析>>

科目:高中数学 来源:2014-2015学年四川省资阳市高三第三次模拟考试理科数学试卷(解析版) 题型:选择题

复数z满足,则z=( )

(A) (B) (C) (D)

查看答案和解析>>

科目:高中数学 来源:2014-2015学年新疆乌鲁木齐高三第一次诊断性测验文科数学卷(解析版) 题型:填空题

已知函数有且仅有一个零点,若,则的取值范围是____________

查看答案和解析>>

科目:高中数学 来源:2014-2015学年新疆乌鲁木齐高三第一次诊断性测验文科数学卷(解析版) 题型:选择题

执行如图程序在平面直角坐标系上打印一系列点,则打印出的点在圆内的个数是

查看答案和解析>>

科目:高中数学 来源:2014-2015学年新疆乌鲁木齐高三第一次诊断性测验理科数学卷(解析版) 题型:填空题

中,若 ,则面积的最大值为__________

查看答案和解析>>

科目:高中数学 来源:2014-2015学年广东省肇庆市高三第三次统一检测理科数学试卷(解析版) 题型:解答题

(本小题满分12分)已知函数

(1)求函数的最小正周期;

(2)若,求的值.

查看答案和解析>>

同步练习册答案