精英家教网 > 高中数学 > 题目详情

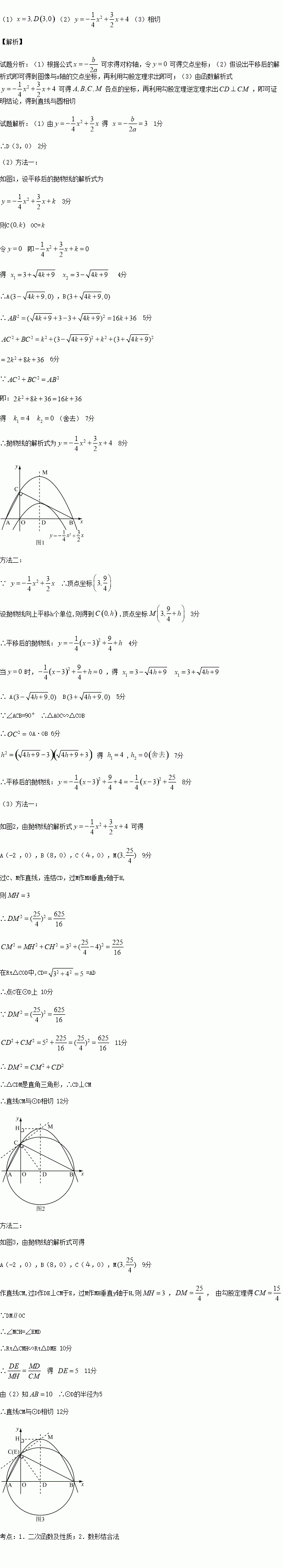
(本题满分12分)已知二次函数的图象如图.

(1)求它的对称轴与轴交点D的坐标;

(2)将该抛物线沿它的对称轴向上平移,设平移后的抛物线与轴,轴的交点分别为A、B、C三点,若∠ACB=90°,求此时抛物线的解析式;

(3)设(2)中平移后的抛物线的顶点为M,以AB为直径,D为圆心作⊙D,试判断直线CM与⊙D的位置关系,并说明理由.

练习册系列答案
相关习题

科目:高中数学 来源:2015-2016学年陕西省西安市高一10月月考数学试卷(解析版) 题型:解答题

(本题10分)设

(1)在下列直角坐标系中画出的图象;

(2)若,求值.

查看答案和解析>>

科目:高中数学 来源:2015-2016学年湖北省高二上学期第一次月考文科数学试卷(解析版) 题型:选择题

已知实数满足区域,若该区域恰好被圆覆盖,则圆的方程为( )

A. B.

C. D.

查看答案和解析>>

科目:高中数学 来源:2016届广东省广州市荔湾区高三上学期调研测试一理科数学试卷(解析版) 题型:选择题

已知不等式组所表示的平面区域为,若直线与平面区域有公共点,

的取值范围为是

A. B. C. D.

查看答案和解析>>

科目:高中数学 来源:2015-2016学年重庆市高二上学期第一次月考数学试卷(解析版) 题型:选择题

设有两条直线 给出下面四个命题:

(1)

(2)

(3)

(4)

其中正确的命题个数是( )

A.1 B.2 C.3 D.4

查看答案和解析>>

科目:高中数学 来源:2015-2016学年湖南省高一上学期实验班招生数学试卷(解析版) 题型:选择题

如图,D是△ABC的BC边延长线上一点,且CD=BC,E是AC的中点,DE的延长线交AB于F,则DE:EF等于( )

A.2:1 B.3:1 C. D.

查看答案和解析>>

科目:高中数学 来源:2015-2016学年河北邢台市高二上学期第一次月考文科数学试卷(解析版) 题型:填空题

在空间四边形ABCD中,各边边长均为1,若BD=1,则AC的取值范围是________.

查看答案和解析>>

科目:高中数学 来源:2015-2016学年河北衡水冀州中学高二上学期第一次月考理科数学试卷(解析版) 题型:选择题

是边长为的等边三角形,已知向量满足,则下列结论正确的是( )

A、 B、 C、 D、

查看答案和解析>>

科目:高中数学 来源:2015-2016学年湖南省高二下学期第一次月考理科数学试卷(解析版) 题型:选择题

所在平面内一点,,则( )

A.

B.

C.

D.

查看答案和解析>>

同步练习册答案