精英家教网 > 高中数学 > 题目详情

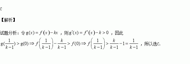
若定义在上的函数满足,其导函数,则下列结论中一定错误的是( )

A. B.

C. D.

练习册系列答案
相关习题

科目:高中数学 来源:2015-2016学年山西大学附属中学高一下期中数学试卷(解析版) 题型:填空题

查看答案和解析>>

科目:高中数学 来源:2015-2016学年安徽省高二下周末检测三文数学卷(解析版) 题型:解答题

(1)计算

(2)已知,求值:.

查看答案和解析>>

科目:高中数学 来源:2015-2016学年重庆八中高二下阶段性检测五文科数学试卷(解析版) 题型:解答题

设函数

(1)若,解不等式

(2)若函数有最小值,求实数的取值范围.

查看答案和解析>>

科目:高中数学 来源:2015-2016学年重庆八中高二下阶段性检测五文科数学试卷(解析版) 题型:解答题

,其中,曲线在点处的切线与轴相交于点

(1)确定的值;

(2)求函数的单调区间与极值.

查看答案和解析>>

科目:高中数学 来源:2015-2016学年重庆八中高二下阶段性检测五文科数学试卷(解析版) 题型:选择题

,则( )

A.1 B.0 C.-1 D.

查看答案和解析>>

科目:高中数学 来源:2015-2016学年福建上杭一中高一下期末模拟二数学试卷(解析版) 题型:解答题

已知函数为常数且).

(1)若函数的定义域为,值域为,求的值;

(2)在(1)的条件下,定义区间的长度为,其中,若不等式的解集构成的各区间的长度和超过,求的取值范围.

查看答案和解析>>

科目:高中数学 来源:2015-2016学年福建上杭一中高一下期末模拟二数学试卷(解析版) 题型:选择题

已知函数的定义域为,值域为,则的值不可能是( )

A. B. C. D.

查看答案和解析>>

科目:高中数学 来源:2016届辽宁省高三四模理科数学试卷(解析版) 题型:选择题

已知函数满足:,那么下列不等式成立的是( )

A. B. C. D.

查看答案和解析>>

同步练习册答案