精英家教网 > 高中数学 > 题目详情
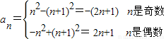
已知函数f(n)=,且an=f(n)+f(n+1),则a1+a2+a3+…+a100等于   
【答案】分析:先求出通项公式an,然后两项一组,求数列的前100项的和
解答:解:∵an=f(n)+f(n+1)
∴由已知条件知,

∴an+an+1=2(n是奇数)
∴a1+a2+a3+…+a100=(a1+a2)+(a3+a4)+…+(a99+a100)=2+2+2+…+2=100
故答案为:100
点评:本题考查数列的通项公式的求法和前n项和的求法,须注意对通项公式和问题的灵活变形.属简单题
练习册系列答案
相关习题

科目:高中数学 来源: 题型:

已知函数f(n)=n2cos(nπ),且an=f(n)+f(n+1),则a1+a2+a3+…+a100=(  )
A、0B、-100C、100D、10200

查看答案和解析>>

科目:高中数学 来源: 题型:

已知函数f(n)=
n2,当n为奇数时
-n2,当n为偶数时
且an=f(n)+f(n+1),则a1+a2+a3+…+a100等于(  )

查看答案和解析>>

科目:高中数学 来源: 题型:

已知函数f(n)=sin
6
(n∈Z),则f(1)+f(2)+f(3)+…+f(2008)的值是
3
2
+
3
3
2
+
3

查看答案和解析>>

科目:高中数学 来源: 题型:

已知函数f(n)=log(n+1)(n+2)(n为正整数),若存在正整数k满足:f(1)•f(2)…f(n)=k,那么我们将k叫做关于n的“对整数”.当n∈[1,2012]时,则“对整数”的个数为
9
9
个.

查看答案和解析>>

科目:高中数学 来源: 题型:

(2007•杨浦区二模)已知函数f(n)=log(n+1)(n+2)(n为正整数),若存在正整数k满足:f(1)•f(2)•f(3)…f(n)=k,那么我们将k叫做关于n的“对整数”.当n∈[1,100]时,则“对整数”的个数为
5
5
个.

查看答案和解析>>

同步练习册答案