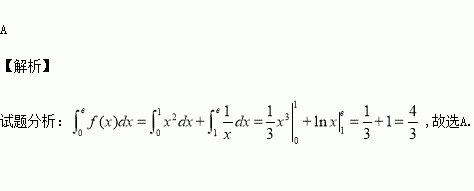
精英家教网 > 高中数学 > 题目详情

(其中为自然对数的底数),则的值为( )

A. B. C. D.

练习册系列答案
相关习题

科目:高中数学 来源:2016届山东省高三最后一模理科数学试卷(解析版) 题型:选择题

设函数,若,则等于( )

A. B. C. D.3

查看答案和解析>>

科目:高中数学 来源:2015-2016学年江西玉山一中高一下第三次考试理科数学卷(解析版) 题型:选择题

设等比数列的公比为,其前项之积为,并且满足条件:.给出下列结论:(1);(2)(3)的值是中最大的;(4)使成立的最大自然数等于4030.其中正确的结论为( )

A.(1),(3) B.(2),(3) C. (2),(4) D. (1),(4)

查看答案和解析>>

科目:高中数学 来源:205-2016学年吉林省高二下期中理科数学试卷(解析版) 题型:解答题

已知复数(其中为虚数单位).

(Ⅰ)当实数取何值时,复数是纯虚数;

(Ⅱ)若复数在复平面上对应的点位于第四象限,求实数的取值范围。

查看答案和解析>>

科目:高中数学 来源:205-2016学年吉林省高二下期中理科数学试卷(解析版) 题型:选择题

将5名实习教师分配到高一年级的3个班实习,每班至少1名,最多2名,则不同的分配方案有( )

A .30种 B .90种 C.180种 D.270种

查看答案和解析>>

科目:高中数学 来源:2016届湖南长沙长郡中学高考原创十一文科数学试卷(解析版) 题型:解答题

设函数.

(1)当时,解不等式

(2)若的解集为,求证:.

查看答案和解析>>

科目:高中数学 来源:2016届湖南长沙长郡中学高考原创十一文科数学试卷(解析版) 题型:解答题

中,角所对的边分别为,且满足

的面积为.

(1)求的值;

(2)求的值.

查看答案和解析>>

科目:高中数学 来源:2015-2016学年湖北省高二5月月考文科数学试卷(解析版) 题型:填空题

已知常数为自然对数的底数,函数.

(1)写出的单调递增区间,并证明

(2)讨论函数在区间上零点的个数.

查看答案和解析>>

科目:高中数学 来源:2015-2016学年湖北省高二5月月考理科数学试卷(解析版) 题型:选择题

函数上的最大值和最小值分别是( )

A.5,-15 B.5,-4 C.-4,-15 D.5,-16

查看答案和解析>>

同步练习册答案