精英家教网 > 高中数学 > 题目详情
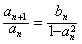
已知数列{an}和{bn}满足a1=b1,且对任意n∈N*都有an+bn=1,
(Ⅰ)判断数列是否为等差数列,并说明理由;
(Ⅱ)证明:
(Ⅰ)解:数列为等差数列;
理由如下:
∵对任意n∈N*都有an+bn=1,


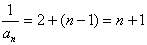
∴数列是首项为,公差为1的等差数列.
(Ⅱ)证明:∵a1=b1,且a1+b1=1,

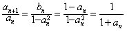
由(Ⅰ)知

所证不等式,即
也即证明
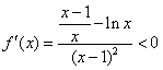
(x>1),则
再令,则g′(x)=
当x>1时,g′(x)<0,
∴函数g(x)在[1,+∞)上单调递减,
∴当x>1时,g(x)<g(1)=0,即
∴当x>1时,
∴函数在(1,+∞)上单调递减,





成立。
练习册系列答案
相关习题

科目:高中数学 来源: 题型:

已知数列{an}和{bn}满足:a=1,a1=2,a2>0,bn=
a1an+1
(n∈N*)
.且{bn}是以
a为公比的等比数列.
(Ⅰ)证明:aa+2=a1a2
(Ⅱ)若a3n-1+2a2,证明数例{cx}是等比数例;
(Ⅲ)求和:
1
a1
+
1
a2
+
1
a3
+
1
a4
+
+
1
a2n-1
+
1
a2n

查看答案和解析>>

科目:高中数学 来源: 题型:

已知数列{an}和{bn}满足a1=m,an+1an+n,bn=an-
2n
3
+
4
9

(1)当m=1时,求证:对于任意的实数λ,{an}一定不是等差数列;
(2)当λ=-
1
2
时,试判断{bn}是否为等比数列.

查看答案和解析>>

科目:高中数学 来源: 题型:

已知数列{an}和等比数列{bn}满足:a1=b1=4,a2=b2=2,a3=1,且数列{an+1-an}是等差数列,n∈N*
(Ⅰ)求数列{an}和{bn}的通项公式;
(Ⅱ)问是否存在k∈N*,使得ak-bk∈(
12
,3]
?若存在,求出k的值;若不存在,请说明理由.

查看答案和解析>>

科目:高中数学 来源: 题型:

已知数列{an}和{bn}满足:a1=λ,an+1=
23
an+n-4,bn=(-1)n(an-3n+21)其中λ为实数,且λ≠-18,n为正整数.
(Ⅰ)求证:{bn}是等比数列;
(Ⅱ)设0<a<b,Sn为数列{bn}的前n项和.是否存在实数λ,使得对任意正整数n,都有a<Sn<b?若存在,求λ的取值范围;若不存在,说明理由.

查看答案和解析>>

科目:高中数学 来源: 题型:

(2011•孝感模拟)已知数列{an}和{bn}满足a1=1且bn=1-2anbn+1=
bn
1-4 
a
2
n

(I)证明:数列{
1
an
}是等差数列,并求数列{an}的通项公式;
(Ⅱ)求使不等式(1+a1)(1+a2)…(1+an)≥k
1
b2b3bnbn+1 
对任意正整数n都成立的最大实数k.

查看答案和解析>>

同步练习册答案