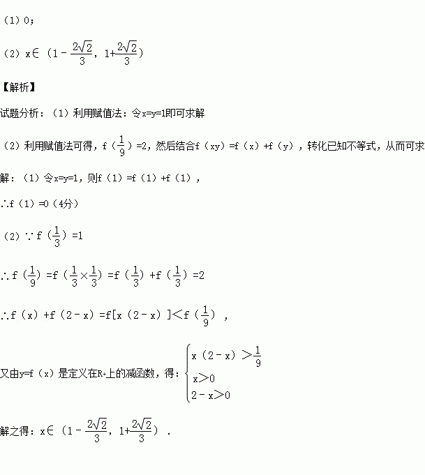
(2011春•德州期末)设函数y=f(x)是定义在(0,+∞)上的减函数,并且满足f(xy)=f(x)+f(y),
.
(1)求f(1)的值;
(2)如果f(x)+f(2﹣x)<2,求x的取值范围.
科目:高中数学 来源:2016届江苏省南通市高三上第三次调研文科数学试卷(解析版) 题型:填空题
(2015春•淮安校级期中)已知函数f(x)=x﹣1﹣(e﹣1)lnx,其中e为自然对数的底,则满足f(ex)<0的x的取值范围为 .
查看答案和解析>>
科目:高中数学 来源:2016届黑龙江省高三12月考理科数学试卷(解析版) 题型:解答题
选修4-1:几何证明选讲
如图所示,
为
的直径,
为
的中点,
为
的中点.
(Ⅰ)求证:
;
(Ⅱ)求证:
.
查看答案和解析>>
科目:高中数学 来源:2016届云南省玉溪市高三第四次月考文科数学试卷(解析版) 题型:选择题
某几何体的三视图如图所示(单位:cm),则该几何体的体积是( )
![]()
A.
B.
C.
D.![]()
查看答案和解析>>
科目:高中数学 来源:2015-2016学年云南省昭通市高二上9月月考试数学试卷(解析版) 题型:解答题
(2015秋•水富县校级月考)如图在正方体ABCD﹣A1B1C1D1中,
![]()
(1)求证:平面AA1C1C⊥平面A1BD
(2)求直线A1B与平面A1B1CD所成的角.
查看答案和解析>>
科目:高中数学 来源:2015-2016学年云南省高一上10月月考数学试卷(解析版) 题型:选择题
(2011秋•南京期末)若
,则A∩B=( )
A.
B.{x|x≥1}
C.
D.{x|0<x<2}
查看答案和解析>>
科目:高中数学 来源:2015-2016学年辽宁省沈阳市高一上第一次月考数学试卷(解析版) 题型:填空题
(2015秋•沈阳校级月考)如果函数y=b与函数y=x2﹣3|x﹣1|﹣4x﹣3的图象恰好有三个交点,则b= .
查看答案和解析>>
科目:高中数学 来源:2015-2016学年辽宁省葫芦岛市一中高一上第二次月考数学试卷(解析版) 题型:填空题
(2015秋•葫芦岛校级月考)幂函数y=f(x)的图象过点
,那么f(4)的值为 .
查看答案和解析>>
科目:高中数学 来源:2015-2016学年福建省龙海市高二上学期期中文科数学试卷(解析版) 题型:选择题
以下程序运行后的输出结果是
i : = 1 ;
repeat
i : = i +2 ;
S : = 2 i +3 ;
i : = i-1 ;
until i≥8;
输出 S.
(A)17 (B)19 (C)21 (D)23
查看答案和解析>>
湖北省互联网违法和不良信息举报平台 | 网上有害信息举报专区 | 电信诈骗举报专区 | 涉历史虚无主义有害信息举报专区 | 涉企侵权举报专区
违法和不良信息举报电话:027-86699610 举报邮箱:58377363@163.com