精英家教网 > 高中数学 > 题目详情

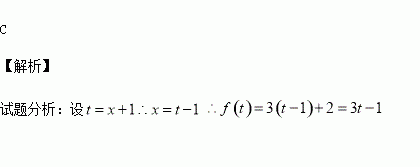
已知函数f(x+1)=3x+2,则f(x)的解析式是( )

A.3x+2 B.3x+1 C.3x-1 D.3x+4

练习册系列答案
相关习题

科目:高中数学 来源:2015-2016学年广东东华高中高一上学期前段段考数学试卷(解析版) 题型:选择题

已知,则的表达式是( )

A. B. C. D.

查看答案和解析>>

科目:高中数学 来源:2015-2016学年河北省高一10月月考数学试卷(解析版) 题型:选择题

下列各组函数中表示同一函数的是( )

①f(x)=与g(x)=x

②f(x)=|x|与g(x)=

③f(x)=x0与g(x)=

④f(x)=x2-2x-1与g(t)=t2-2t-1.

A.①② B.②③ C.③④ D.①④

查看答案和解析>>

科目:高中数学 来源:2015-2016学年广东省英德市高一上学期第一次月考数学试卷(解析版) 题型:选择题

下列各组函数表示同一函数的是( )

A.

B.

C.

D.

查看答案和解析>>

科目:高中数学 来源:2015-2016学年广东省高一上第一次月考数学试卷(解析版) 题型:解答题

(12分)已知f(x)的定义域为(0,+∞),且满足f(2)=1,f(xy)=f(x)+f(y),又当x2>x1>0时,f(x2)>f(x1).

(1)求f(1)、f(4)、f(8)的值;

(2)若有f(x)+f(x-2)≤3成立,求x的取值范围.

查看答案和解析>>

科目:高中数学 来源:2015-2016学年广东省高一上学期期中考试数学试卷(解析版) 题型:选择题

已知函数,则( )

A.0 B.1 C.2 D.3

查看答案和解析>>

科目:高中数学 来源:2015-2016学年广东省高二上学期期中考试理科数学试卷(解析版) 题型:解答题

(本小题满分10分)

在平面直角坐标系中,抛物线与坐标轴的交点都在圆上.

(1)求圆的方程;

(2)若线段为圆的直径,点为直线上的动点,求的最小值.

查看答案和解析>>

科目:高中数学 来源:2015-2016学年安徽省阜阳市高二上第一次调研考理科数学试卷(解析版) 题型:解答题

(本小题满分10分)

若对一切,不等式恒成立,求实数x的取值范围。

查看答案和解析>>

科目:高中数学 来源:2016届福建省高三第一次月考理科数学试卷(解析版) 题型:选择题

已知变量x,y满足约束条件,若目标函数z=y-ax仅在点(-3,0)处取到最大值,则实数a的取值范围为 ( )

A. B.(3,5) C.(-1,2) D.

查看答案和解析>>

同步练习册答案