精英家教网 > 高中数学 > 题目详情

选修4-4:坐标系与参数方程

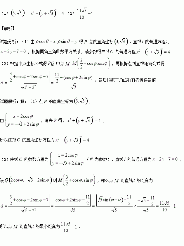
已知平面直角坐标系,曲线的方程为为参数),以为极点,轴的非负半轴为极轴建立极坐标系,点的极坐标为,直线的极坐标方程为

(1)写出点的直角坐标及曲线的普通方程;

(2)若为曲线上的动点,求中点到直线距离的最小值.

练习册系列答案
相关习题

科目:高中数学 来源:2016届湖南师大附中高三下学期高考模拟三文科数学试卷(解析版) 题型:解答题

已知

(1)若的极值点,讨论的单调性;

(2)当时,证明:在定义域内无零点.

查看答案和解析>>

科目:高中数学 来源:2016届辽宁省锦州市高三下学期质量检测二文科数学试卷(解析版) 题型:选择题

某三棱锥的三视图如图所示, 则该三棱锥的各个面中, 最大的面积是( )

A. B. C. D.

查看答案和解析>>

科目:高中数学 来源:2016届辽宁省锦州市高三下学期质量检测二理科数学试卷(解析版) 题型:选择题

设函数是定义在上的偶函数, 对任意,都有,且当时, ,若在区间内关于的方程恰有三个不同的实数根, 则的取值范围是( )

A. B. C. D.

查看答案和解析>>

科目:高中数学 来源:2016届辽宁省锦州市高三下学期质量检测二理科数学试卷(解析版) 题型:选择题

某三棱锥的三视图如图所示, 则该三棱锥的各个面中, 最大的面积是( )

A. B. C. D.

查看答案和解析>>

科目:高中数学 来源:2016届河南省洛阳市高三考前综合练习五文科数学试卷(解析版) 题型:解答题

已知是矩形,平面分别是的中点.

(1)求证:平面平面

(2)求点到平面的距离.

查看答案和解析>>

科目:高中数学 来源:2016届河南省洛阳市高三考前综合练习五文科数学试卷(解析版) 题型:选择题

如图是一个几何体的三视图,正视图是一个等腰直角三角形,且斜边长为2,侧视图为一个直角三角形,俯视图是一个直角梯形,且,则此几何体的表面积是( )

A. B. C. D.

查看答案和解析>>

科目:高中数学 来源:2016届河南省洛阳市高三考前综合练习五理科数学试卷(解析版) 题型:解答题

为了对某班学生的数学、物理成绩进行分析,从该班25位男同学,15位女同学中随机抽取一个容量为8的样本.

(1)如果按性别比例分层抽样,可以得到多少个不同的样本?(只要求写出算式,不必计算出结果);

(2)若这8人的数学成绩从小到大排序是:65,68,72,79,81,88,92,95.物理成绩从小到大排序是:72,77,80,84,86,90,93,98.

①求这8人中恰有3人数学、物理成绩均在85分以上的概率(结果用分数表示);

②已知随机抽取的8人的数学成绩和物理成绩如下表:

学生编号

1

2

3

4

5

6

7

8

数学成绩

65

68

72

79

81

88

92

95

物理成绩

72

77

80

84

86

90

93

98

若以数学成绩为解释变量,物理成绩为预报变量,求关于的线性回归方程(系数精确到0.01);并求数学成绩对于物理成绩的贡献率(精确到0.01).

参考公式:相关系数

回归方程

,其中

参考数据:

查看答案和解析>>

科目:高中数学 来源:2016届海南省高三考前模拟理科数学试卷(解析版) 题型:选择题

已知集合,集合为( )

A. B. C. D.

查看答案和解析>>

同步练习册答案