精英家教网 > 高中数学 > 题目详情

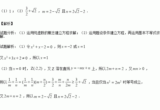
已知为实数,复数.

(1)当为何值时,复数为纯虚数?

(2)当时,复数在复平面内对应的点落在直线上,其中,求的最小值及取得最值时的值.

练习册系列答案
相关习题

科目:高中数学 来源:2015-2016学年广西宾阳中学高二3月月考理科数学试卷(解析版) 题型:解答题

用数学归纳法证明:

查看答案和解析>>

科目:高中数学 来源:2015-2016学年辽宁鞍山一中等校高一下期末数学试卷(解析版) 题型:解答题

已知函数.

(1)若对任意的,均有,求的取值范围;

(2)若对任意的,均有,求的取值范围.

查看答案和解析>>

科目:高中数学 来源:2015-2016学年辽宁鞍山一中等校高一下期末数学试卷(解析版) 题型:选择题

中,角的对边分别为.已知,则角大小为( )

A. B. C. D.

查看答案和解析>>

科目:高中数学 来源:2015-2016学年辽宁鞍山一中等校高二下期末理科数学试卷(解析版) 题型:解答题

选修4—1:平面几何证明选讲

如图,切⊙为⊙的割线.

(1)求证:

(2)已知,求的比值.

查看答案和解析>>

科目:高中数学 来源:2015-2016学年辽宁鞍山一中等校高二下期末理科数学试卷(解析版) 题型:选择题

定义在区间上的函数使不等式恒成立,其中的导数,则( )

A. B.

C. D.

查看答案和解析>>

科目:高中数学 来源:2015-2016学年辽宁鞍山一中等校高二下期末理科数学试卷(解析版) 题型:选择题

已知变量之间的线性回归方程为,且变量之间的一组相关数据如下表所示,则下列说法错误的是( )

A.变量之间呈现负相关关系

B.

C.可以预测,当时,

D.由表格数据知,该回归直线必过点

查看答案和解析>>

科目:高中数学 来源:2017届广州省惠州市高三第一次调研理科数学试卷(解析版) 题型:选择题

已知是定义在R上的且以2为周期的偶函数,当时,.如果函数有两个零点,则实数的值为( )

A.

B.

C.0

D.

查看答案和解析>>

科目:高中数学 来源:2017届湖南师大附中高三上入学摸底理科数学试卷(解析版) 题型:解答题

如图,已知正方形ABCD和矩形ACEF所在的平面互相垂直,AB=,AF=1,M是线段EF的中点.

(1)求证:AM∥平面BDE;

(2)求二面角A-DF-B的大小;

(3)试在线段AC上确定一点P,使得PF与BC所成的角是60°.

查看答案和解析>>

同步练习册答案