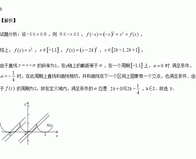
精英家教网 > 高中数学 > 题目详情

已知是定义在R上的且以2为周期的偶函数,当时,.如果函数有两个零点,则实数的值为( )

A.

B.

C.0

D.

练习册系列答案
相关习题

科目:高中数学 来源:2015-2016学年福建省高二下期中理科数学B卷(解析版) 题型:选择题

一盒中有12个乒乓球,其中9个新的,3个旧的(至少使用过一次),从盒中任取3个球来用,

用完后装回盒中,此时盒中旧球个数是一个随机变量,其分布列为,则的值为( )

A. B. C. D.

查看答案和解析>>

科目:高中数学 来源:2015-2016学年辽宁鞍山一中等校高二下期末理科数学试卷(解析版) 题型:解答题

已知为实数,复数.

(1)当为何值时,复数为纯虚数?

(2)当时,复数在复平面内对应的点落在直线上,其中,求的最小值及取得最值时的值.

查看答案和解析>>

科目:高中数学 来源:2017届广州省惠州市高三第一次调研理科数学试卷(解析版) 题型:解答题

选修4-5:不等式选讲

(1)若的解集为,求实数的值.

(2)当时,若存在,使得不等式成立,求实数的取值范围.

查看答案和解析>>

科目:高中数学 来源:2017届广州省惠州市高三第一次调研理科数学试卷(解析版) 题型:解答题

中,角的对边分别为,若

(Ⅰ)求的值;

(Ⅱ)若的面积为,求边长.

查看答案和解析>>

科目:高中数学 来源:2017届广州省惠州市高三第一次调研理科数学试卷(解析版) 题型:选择题

,若的等比中项,则的最小值为( )

A. B.8 C.9 D.10

查看答案和解析>>

科目:高中数学 来源:2017届湖南师大附中高三上入学摸底文科数学试卷(解析版) 题型:解答题

选修4-5:不等式选讲.

设函数f(x)=|2x-a|+a.

(1)若不等式f(x)≤6的解集为{x|-2≤x≤3},求实数a的值;

(2)在(1)的条件下,若存在实数n,使得f(n)≤m-f(-n)恒成立,求实数m的取值范围.

查看答案和解析>>

科目:高中数学 来源:2017届湖南师大附中高三上入学摸底文科数学试卷(解析版) 题型:选择题

若某圆柱体的上部挖掉一个半球,下部挖掉一个圆锥后所得的几何体的三视图中的正视图和侧视图如图所示,则此几何体的表面积是

A.24π

B.24π+8π

C.24π+4π

D.32π

查看答案和解析>>

科目:高中数学 来源:2015-2016学年河北省高二下期中文科数学试卷(解析版) 题型:选择题

若直线与曲线)有两个不同的公共点,则实数的取值范围为 ( )

A. B.

C. D.

查看答案和解析>>

同步练习册答案