精英家教网 > 高中数学 > 题目详情
已知数列{an},an≥0,a1=0,an+12+an+1-1=an2(n∈N*),记:Sn=a1+a2+…+an
,求证:当n∈N*时,
(Ⅰ)an<an+1
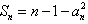
(Ⅱ)Sn>n-2;
(Ⅲ)Tn<3。
证明:(Ⅰ)用数学归纳法证明.
①当n=1时,因为a2是方程的正根,所以
②假设当n=k(k∈N*)时,
因为
所以
即当n=k+1时,也成立.
根据①和②,可知对任何n∈N*都成立;
(Ⅱ)由

因为,所以

所以
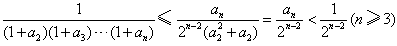
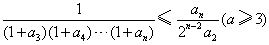
(Ⅲ)由

所以
于是
故当n≥3时,
又因为
所以
练习册系列答案
相关习题

科目:高中数学 来源: 题型:

已知数列{an}满足
a1-1
2
+
a2-1
22
+…+
an-1
2n
=n2+n(n∈N*)

(I)求数列{an}的通项公式;
(II)求数列{an}的前n项和Sn

查看答案和解析>>

科目:高中数学 来源: 题型:

已知数列{an}满足a 1=
2
5
,且对任意n∈N*,都有
an
an+1
=
4an+2
an+1+2

(1)求证:数列{
1
an
}为等差数列,并求{an}的通项公式;
(2)令bn=an•an+1,Tn=b1+b2+b3+…+bn,求证:Tn
4
15

查看答案和解析>>

科目:高中数学 来源: 题型:

已知数列{an}满足a 1=
2
5
,且对任意n∈N+,都有
an
an+1
=
4an+2
an+1+2

(1)求{an}的通项公式;
(2)令bn=an•an+1,Tn=b1+b2+b3+…+bn,求证:Tn
4
15

查看答案和解析>>

科目:高中数学 来源: 题型:

已知数列{an}满足a n+an+1=
1
2
(n∈N+)
,a 1=-
1
2
,Sn是数列{an}的前n项和,则S2013=
 

查看答案和解析>>

科目:高中数学 来源: 题型:

已知数列{an}:,,,…,,…,其中a是大于零的常数,记{an}的前n项和为Sn,计算S1,S2,S3的值,由此推出计算Sn的公式,并用数学归纳法加以证明.

查看答案和解析>>

同步练习册答案