精英家教网 > 高中数学 > 题目详情

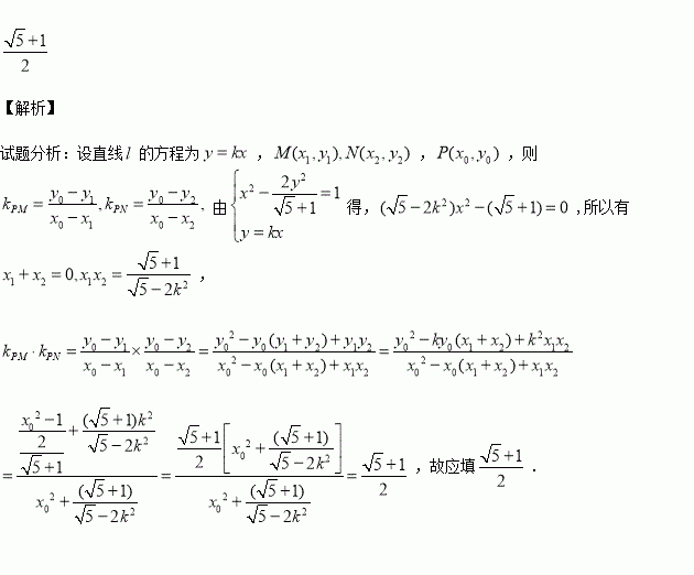
给定双曲线,若直线的中心,且与交于两点,为曲线上任意一点,若直线的斜率均存在且分别记为,则 .

练习册系列答案
相关习题

科目:高中数学 来源:2017届江西新余一中高三上学期开学考试数学(理)试卷(解析版) 题型:选择题

已知定义域为的函数满足以下条件:①;②;③当时,. 若方程上至少有个不等的实根, 则实数 的取值范围为( )

A. B. C. D.

查看答案和解析>>

科目:高中数学 来源:2017届湖南长沙长郡中学高三入学考试数学(文)试卷(解析版) 题型:解答题

某校对高一年级学生寒假参加社区服务的次数进行了统计,随机抽取了名学生作为样本,得到这名学生参加社区服务的次数,根据此数据作出了频率分布统计表和频率分布直方图如下:

(1)求表中的值和频率分布直方图中的值,并根据频率分布直方图估计该校高一学生寒假参加社区服务次数的中位数;

(2)如果用分层抽样的方法从样本服务次数在的人中共抽取6人,再从这6人中选2人,求2人服务次数都在的概率.

查看答案和解析>>

科目:高中数学 来源:2017届湖南长沙长郡中学高三入学考试数学(文)试卷(解析版) 题型:选择题

是虚数单位,则复数( )

A. B. C. D.

查看答案和解析>>

科目:高中数学 来源:2017届湖南长沙长郡中学高三入学考试数学(理)试卷(解析版) 题型:解答题

如图,在等腰梯形中,,四边形为矩形,平面平面

(1)求证:平面

(2)点在线段上运动,设平面与平面二面角的平面角为,试求的取值范围.

查看答案和解析>>

科目:高中数学 来源:2017届湖南长沙长郡中学高三入学考试数学(理)试卷(解析版) 题型:选择题

在棱长为3的正方体中,在线段上,且为线段上的动点,则三棱锥的体积为( )

A.1 B.

C. D.与点的位置有关

查看答案和解析>>

科目:高中数学 来源:2017届湖南长沙长郡中学高三入学考试数学(理)试卷(解析版) 题型:选择题

设复数,其中为实数,若的实部为2,则的虚部为( )

A. B. C. D.

查看答案和解析>>

科目:高中数学 来源:2016届四川内江市高三第五次模拟考试数学(文)试卷(解析版) 题型:选择题

若双曲线的渐近线与圆相切,则( )

A.5 B. C.2 D.

查看答案和解析>>

科目:高中数学 来源:2016届北京通州区高三4月一模数学(理)试卷(解析版) 题型:选择题

已知是首项为2且公差不为0的等差数列,若成等比数列,则的前9项和等于( )

A.26 B.30 C.36 D.40

查看答案和解析>>

同步练习册答案