精英家教网 > 高中数学 > 题目详情
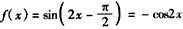
已知函数f(x)=sin(ωx+φ)(ω>0,|φ|<π)的部分图象如图所示,
 (Ⅰ)求ω,φ的值;
(Ⅱ)设,求函数g(x)的单调递增区间。
解:(Ⅰ)由图可知
又由得,sin(π+φ)=1,
又f(0)=-1,得sinφ=-1,


 (Ⅱ)由(Ⅰ)知:
因为
所以,

故函数g(x)的单调增区间为
练习册系列答案
相关习题

科目:高中数学 来源: 题型:

(附加题)
(Ⅰ)设非空集合S={x|m≤x≤l}满足:当x∈S时有x2∈S,给出下列四个结论:
①若m=2,则l=4
②若m=-
1
2
,则
1
4
≤l≤1

③若l=
1
2
,则-
2
2
≤m≤0
④若m=1,则S={1},
其中正确的结论为
②③④
②③④

(Ⅱ)已知函数f(x)=x+
a
x
+b(x≠0)
,其中a,b∈R.若对于任意的a∈[
1
2
,2]
,f(x)≤10在x∈[
1
4
,1]
上恒成立,则b的取值范围为
(-∞,
7
4
]
(-∞,
7
4
]

查看答案和解析>>

科目:高中数学 来源: 题型:

将正奇数列{2n-1}中的所有项按每一行比上一行多一项的规则排成如下数表:
记aij是这个数表的第i行第j列的数.例如a43=17
(Ⅰ)  求该数表前5行所有数之和S;
(Ⅱ)2009这个数位于第几行第几列?
(Ⅲ)已知函数f(x)=
3x
3n
(其中x>0),设该数表的第n行的所有数之和为bn
数列{f(bn)}的前n项和为Tn,求证Tn
2009
2010

查看答案和解析>>

科目:高中数学 来源: 题型:

(2012•开封二模)已知函数f(x)=sin(x+
π
6
)+2sin2
x
2

(I)求函数f(x)的单调递增区间;
(II)记△ABC的内角A、B、C所对的边长分别为a、b、c若f(A)=
3
2
,△ABC的面积S=
3
2
,a=
3
,求b+c的值.

查看答案和解析>>

科目:高中数学 来源: 题型:

(2011•黑龙江一模)已知函数f(x)=
3
2
sinxcosx-
3
2
sin2x+
3
4

(Ⅰ) 求函数f(x)的单调递增区间;
(Ⅱ)已知△ABC中,角A,B,C所对的边长分别为a,b,c,若f(A)=0,a=
3
,b=2
,求△ABC的面积S.

查看答案和解析>>

科目:高中数学 来源: 题型:

(2012•黄山模拟)已知函数f(x)=ln2(1+x),g(x)=
x2
1+x

(Ⅰ)分别求函数f(x)和g(x)的图象在x=0处的切线方程;
(Ⅱ)证明不等式ln2(1+x)≤
x2
1+x

(Ⅲ)对一个实数集合M,若存在实数s,使得M中任何数都不超过s,则称s是M的一个上界.已知e是无穷数列an=(1+
1
n
)n+a
所有项组成的集合的上界(其中e是自然对数的底数),求实数a的最大值.

查看答案和解析>>

同步练习册答案