精英家教网 > 高中数学 > 题目详情

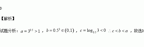
,则的大小关系( )

A. B.

C. D.

练习册系列答案
相关习题

科目:高中数学 来源:2016届辽宁省葫芦岛市高三上学期期中文科数学试卷(解析版) 题型:解答题

(本小题满分12分)在三角形中,

(1)求角A的大小;

(2)已知分别是内角的对边,若,求三角形的面积.

查看答案和解析>>

科目:高中数学 来源:2015-2016学年江西南昌二中高二上学期期中文科数学试卷(解析版) 题型:选择题

已知点是双曲线 右支上一点, 分别是双曲线的左、右焦点, 的内心,若 成立,则双曲线的离心率为

A.4 B. C.2 D.

查看答案和解析>>

科目:高中数学 来源:2015-2016学年吉林实验中学高二上学期期中文科数学试卷(解析版) 题型:选择题

设椭圆的两个焦点分别为F1、、F2,过F2作椭圆长轴的垂线交椭圆于点P,若△F1PF2为等腰直

角三角形,则椭圆的离心率是

A. B. C. D.

查看答案和解析>>

科目:高中数学 来源:2015-2016学年吉林实验中学高二上学期期中理科数学试卷(解析版) 题型:选择题

已知实数满足,则的最大值为

(A) (B)0 (C) (D)

查看答案和解析>>

科目:高中数学 来源:2015-2016学年湖北省高一上学期期中数学试卷(解析版) 题型:选择题

使得函数有零点的一个区间是( )

A.(0,1) B.(1,2) C.(2,3) D.(3,4)

查看答案和解析>>

科目:高中数学 来源:2015-2016学年广东省佛山市高一上学期期中数学试卷(解析版) 题型:选择题

已知,则f(-1)+f(4)的值为( )

A.-7 B.3 C.-8 D.4

查看答案和解析>>

科目:高中数学 来源:2015-2016学年甘肃省嘉峪关市高二上学期期中考试文科数学试卷(解析版) 题型:选择题

若a>b,,则下列命题中成立的是

A. B. C. D.

查看答案和解析>>

科目:高中数学 来源:2015-2016学年四川绵阳南山中学高二上期中文科数学试卷(解析版) 题型:填空题

如图所示,一隧道内设双行线公路,其截面由一个长方形和抛物线构成。为保证安全,要求行使车辆顶部(设为平顶)与隧道顶部在竖直方向上的高度之差至少要有0.5米。若行车道总宽度AB为6米,则车辆通过隧道的限制高度是 米(精确到0.1米)

查看答案和解析>>

同步练习册答案