精英家教网 > 高中数学 > 题目详情

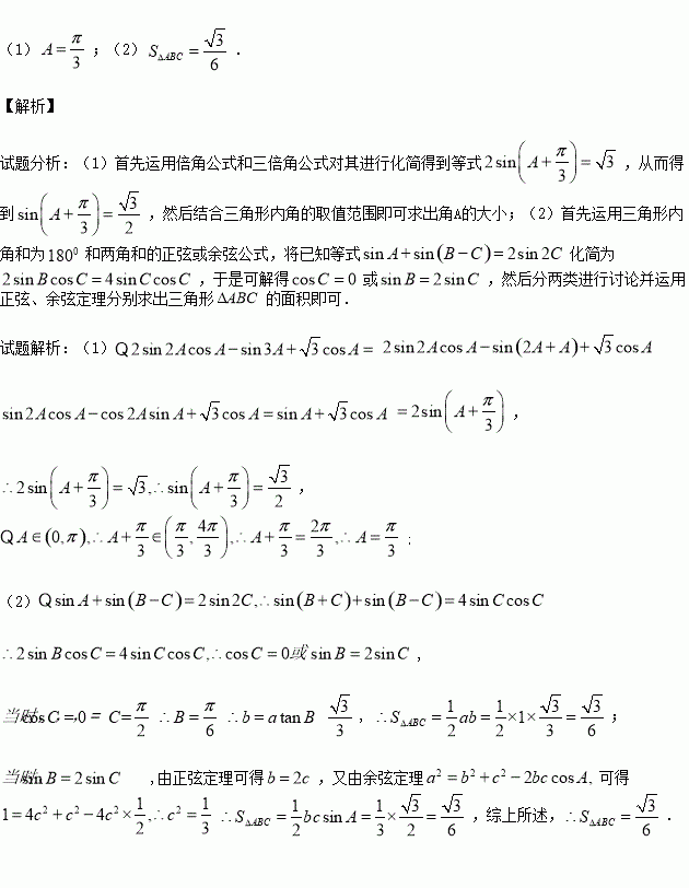
(本小题满分12分)在三角形中,

(1)求角A的大小;

(2)已知分别是内角的对边,若,求三角形的面积.

练习册系列答案
相关习题

科目:高中数学 来源:2015-2016学年江西省等三校高二上第一次联考数学试卷(解析版) 题型:选择题

在正方体ABCD-A′B′C′D′中,过对角线BD′的一个平面交AA′于E、交CC′于F,则以下结论中错误的是( )

A.四边形BFD′E一定是平行四边形

B.四边形BFD′E有可能是正方形

C.四边形BFD′E有可能是菱形

D.四边形BFD′E在底面投影一定是正方形

查看答案和解析>>

科目:高中数学 来源:2015-2016学年广东省普宁市高二上期中理科数学试卷(解析版) 题型:解答题

(本小题满分14分)

如图所示,平面平面,且四边形为矩形,四边形为直角梯形,

(1)求证平面

(2)求平面与平面所成锐二面角的余弦值;

(3)求直线与平面所成角的余弦值.

查看答案和解析>>

科目:高中数学 来源:2016届云南省玉溪市高三上学期期中文科数学试卷(解析版) 题型:解答题

选修4 - 4:坐标系与参数方程(本小题满分10分)

在极坐标系中,曲线有且仅有一个公共点.

(1)求

(2)为极点,为曲线上的两点,且,求的最大值.

查看答案和解析>>

科目:高中数学 来源:2016届云南省玉溪市高三上学期期中理科数学试卷(解析版) 题型:解答题

(本小题满分12分)为了提高我市的教育教学水平,市教育局打算从红塔区某学校推荐的10名教师中任选3人去参加支教活动。这10名教师中,语文教师3人,数学教师4人,英语教师3人.

求:(1)选出的语文教师人数多于数学教师人数的概率;

(2)选出的3人中,语文教师人数的分布列和数学期望.

查看答案和解析>>

科目:高中数学 来源:2016届辽宁省葫芦岛市高三上学期期中理科数学试卷(解析版) 题型:解答题

(本小题满分12分)数列的每一项都是正数,,且成等差数列,成等比数列,

(Ⅰ)求的值;

(Ⅱ)求数列 的通项公式;

(Ⅲ)证明:对一切正整数,有

查看答案和解析>>

科目:高中数学 来源:2016届辽宁省抚顺市高三上学期第一次模拟文科数学试卷(解析版) 题型:填空题

已知函数使得则实数得取值范围是_____________.

查看答案和解析>>

科目:高中数学 来源:2016届贵州省贵阳市高三上学期第三次月考文科数学试卷(解析版) 题型:填空题

某单位为了了解用电量度与气温之间的关系,随机统计了某天的用电量与当天气温,并制作了对照表

由表中数据得回归直线方程,预测当气温为时,用电量的度数是

查看答案和解析>>

科目:高中数学 来源:2015-2016学年湖南省常德市高一上学期期中数学试卷(解析版) 题型:选择题

,则的大小关系( )

A. B.

C. D.

查看答案和解析>>

同步练习册答案