精英家教网 > 高中数学 > 题目详情

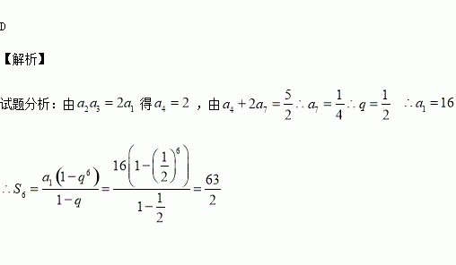
已知数列{an}为等比数列,Sn是它的前n项和,若a2·a3=2a1,且a4与2a7的等差中项为,则S6= ( ).

A.35 B.33 C.31 D.

练习册系列答案
相关习题

科目:高中数学 来源:2016届贵州省贵阳市高三上学期第三次月考文科数学试卷(解析版) 题型:选择题

已知集合,则( )

A. B. C. D.

查看答案和解析>>

科目:高中数学 来源:2015-2016学年湖北省高一上学期期中数学试卷(解析版) 题型:选择题

定义在上的偶函数满足,且在时,,若关于的方程上恰有3个不同的实数解,则实数的取值范围为( )

A. B. C. D.

查看答案和解析>>

科目:高中数学 来源:2015-2016学年江西省南昌市高一上学期期中考试数学试卷(解析版) 题型:选择题

,则的大小顺序为 ( )

A、 B、 C、 D、

查看答案和解析>>

科目:高中数学 来源:2015-2016学年甘肃省嘉峪关市高二上学期期中考试文科数学试卷(解析版) 题型:选择题

下列四个结论:

①若,则恒成立;

②命题“若”的逆命题为“若”;

③P命题的否命题和P命题的逆命题同真同假

④若|C|>0则C>0

其中正确结论的个数是( )

A.1个 B.2个 C.3个 D.4

查看答案和解析>>

科目:高中数学 来源:2016届浙江宁波效实中学高三上期中考试文科数学试卷(解析版) 题型:填空题

已知全集,集合,集合,则

查看答案和解析>>

科目:高中数学 来源:2016届山东省高三第二次诊断性考试文科数学试卷(解析版) 题型:解答题

(本小题满分13分)

已知函数为自然对数的底数

(Ⅰ)求函数的最小值;

(Ⅱ)若对任意的恒成立,求实数的值.

查看答案和解析>>

科目:高中数学 来源:2016届河南省原名校高三上学期第一次联考理科数学试卷(解析版) 题型:填空题

已知函数,给出下列四个命题:

①存在实数,使得函数恰有2个不同的零点;

②存在实数,使得函数恰有4个不同的零点;

③存在实,使得函数恰有5个不同的零点;

④存在实数,使得函数恰有8个不同的零点.

其中真命题的序号是(把你认为正确的序号全写上).

查看答案和解析>>

科目:高中数学 来源:2015-2016学年陕西省高二上学期期中考试数学试卷(解析版) 题型:选择题

已知等比数列的公比,则等于( )

A. B. C. D.

查看答案和解析>>

同步练习册答案