精英家教网 > 高中数学 > 题目详情

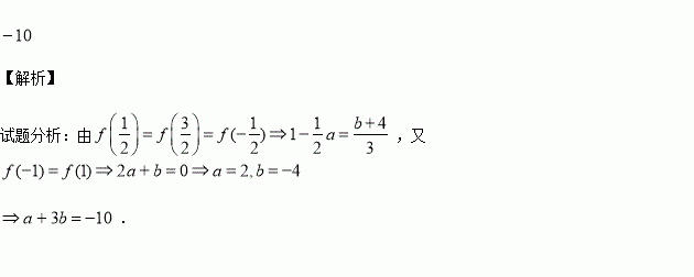
是定义在内,且周期为2 的函数,在区间上,,其中.若,则的值为____________.

练习册系列答案
相关习题

科目:高中数学 来源:2017届三省高三上学期百校大联考数学(理)试卷(解析版) 题型:解答题

已知抛物线,直线交于两点,且,其中为坐标原点.

(1)求抛物线的方程;

(2)已知点的坐标为(-3,0),记直线的斜率分别为,证明:为定值.

查看答案和解析>>

科目:高中数学 来源:2017届河南息县第一高级中学高三上段测三试数学(理)试卷(解析版) 题型:解答题

选修4-4:坐标系与参数方程

已知圆在极坐标方程为,直线的参数方程为为参数).若直

线与圆相交于不同的两点.

(Ⅰ)写出圆的直角坐标方程,并求圆心的坐标与半径;

(Ⅱ)若弦长,求直线的斜率.

查看答案和解析>>

科目:高中数学 来源:2017届河南息县第一高级中学高三上段测三试数学(理)试卷(解析版) 题型:选择题

已知函数的图象是连续不断的,有如下的的对应表

x

1

2

3

4

5

6

f(x)

136.13

15.552

-3.92

10.88

-52.488

-232.064

则函数存在零点的区间有( )

A.区间

B.区间

C.区间

D.区间

查看答案和解析>>

科目:高中数学 来源:2017届河南夏邑县第一高级中学高三文一轮复习周测二数学试卷(解析版) 题型:解答题

已知函数是定义在区间上的奇函数,且,若时,有成立.

(1)证明:函数在区间上是增函数;

(2)解不等式

(3)若不等式恒成立,求实数的取值范围.

查看答案和解析>>

科目:高中数学 来源:2017届河南夏邑县第一高级中学高三文一轮复习周测二数学试卷(解析版) 题型:选择题

若函数内的单调递增函数,则实数的取值范围为( )

A. B. C. D.

查看答案和解析>>

科目:高中数学 来源:2017届河南夏邑县第一高级中学高三文一轮复习周测二数学试卷(解析版) 题型:选择题

已知函数,则的值等于( )

A. B. C. D.0

查看答案和解析>>

科目:高中数学 来源:2017届新疆兵团农二师华山中学高三上学前考数学(文)试卷(解析版) 题型:选择题

函数)的单调递减区间为( )

A. B. C. D.

查看答案和解析>>

科目:高中数学 来源:2016-2017学年河北石家庄市高三理9月摸底数学试卷(解析版) 题型:选择题

已知分别为双曲线的左、右焦点,过的直线与双曲线的左、右两支分别交于两点,若,则双曲线的离心率为

A. B. C. D.

查看答案和解析>>

同步练习册答案