精英家教网 > 高中数学 > 题目详情

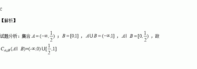
已知集合,则( )

A. B.

C. D.

练习册系列答案
相关习题

科目:高中数学 来源:2016届安徽省等高三第三次联考理科数学试卷(解析版) 题型:解答题

在平面直角坐标系中,已知曲线(θ为参数),将上的所有点的横坐标、纵坐标分别伸长为原来的和2倍后得到曲线,以平面直角坐标系的原点为极点,轴的正半轴为极轴,取相同的单位长度建立极坐标系,已知直线

(1)试写出曲线的极坐标方程与曲线的参数方程;

(2)在曲线上求一点,使点到直线的距离最小,并求此最小值.

查看答案和解析>>

科目:高中数学 来源:2015-2016学年云南省高一上期中数学试卷(解析版) 题型:选择题

函数的零点所在的大致区间是( )

A. B. C. D.

查看答案和解析>>

科目:高中数学 来源:2015-2016学年上海师大附中高二上期中数学试卷(解析版) 题型:填空题

已知一个关于的二元一次方程组的增广矩阵为,则_______.

查看答案和解析>>

科目:高中数学 来源:2016届浙江省富阳市高三上学期第二次质量检测理科数学试卷(解析版) 题型:解答题

已知,设函数

(1)若时,求函数的单调区间;

(2)若,对于任意的,不等式恒成立,求实数的最大值及此时的值.

查看答案和解析>>

科目:高中数学 来源:2015-2016学年辽宁沈阳二中高二12月月考文科数学卷(解析版) 题型:选择题

集合,则( )

A. B. C. D.

查看答案和解析>>

科目:高中数学 来源:2015-2016学年甘肃省高一上二段段中考试数学卷(解析版) 题型:填空题

如图直三棱柱ABB1-DCC1中,BB1⊥AB, AB=4,BC=2,CC1=1,DC上有一动点P,则△APC1周长的最小值是

查看答案和解析>>

科目:高中数学 来源:2015-2016学年江西省吉安市高二上二段考理科数学卷(解析版) 题型:选择题

如果实数满足,那么的最大值是( )

A. B. C. D.

查看答案和解析>>

科目:高中数学 来源:2015-2016学年河南省高一12月月考数学试卷(解析版) 题型:解答题

函数的定义域为A,定义域为B.

(Ⅰ)求

(Ⅱ)若, 求实数的取值范围.

查看答案和解析>>

同步练习册答案