精英家教网 > 高中数学 > 题目详情

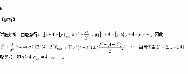
已知不等式对任意实数都成立,则常数的最小值为( )

A. B. C. D.

练习册系列答案
相关习题

科目:高中数学 来源:2016届河南省郑州市高三上学期联考理科数学试卷(解析版) 题型:解答题

已知离心率为的椭圆的右焦点是圆的圆心,过椭圆上的动点作圆的两条切线分别交轴于(与点不重合)两点.

(Ⅰ)求椭圆方程;

(Ⅱ)求线段长的最大值,并求此时点的坐标.

查看答案和解析>>

科目:高中数学 来源:2015-2016学年广东省汕头市高一上学期期中考试数学试卷(解析版) 题型:选择题

若函数的定义域为R,则实数m的取值范围是( )

A. B. C. D.

查看答案和解析>>

科目:高中数学 来源:2016上海复旦大学附中届高三上期中文科数学试卷(解析版) 题型:填空题

已知抛物线,过抛物线上一点作倾斜角互补的两条直线,分别交抛物线两点.则直线的斜率为 .

查看答案和解析>>

科目:高中数学 来源:2016上海复旦大学附中届高三上期中理科数学试卷(解析版) 题型:填空题

阅读右边的程序框图,如果输出的值在区间内,则输入的实数的取值范围是

查看答案和解析>>

科目:高中数学 来源:2016届河北省高三上学期四调理科数学试卷(解析版) 题型:填空题

已知数列对于任意,有,若,则

查看答案和解析>>

科目:高中数学 来源:2015-2016学年吉林省高二11月月考文科数学卷(解析版) 题型:选择题

若条件,条件,则的( )

A.充分不必要条件 B.必要不充分条件

C.充要条件 D.既非充分条件也非必要条件

查看答案和解析>>

科目:高中数学 来源:2015-2016学年湖北武汉华中师大一附高二上期中理数学卷(解析版) 题型:选择题

双曲线的焦点到渐近线的距离为( )

A. B.2 C. D.

查看答案和解析>>

科目:高中数学 来源:2016届福建省高三上学期期中考理科数学试卷(解析版) 题型:解答题

已知函数),其图像过点

(Ⅰ)求的值;

(Ⅱ)将函数图像上各点向左平移个单位长度,得到函数的图像,求函数上的单调递增区间.

查看答案和解析>>

同步练习册答案