精英家教网 > 高中数学 > 题目详情

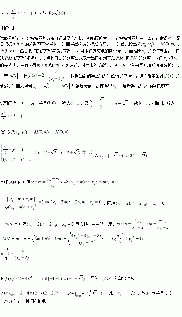
已知离心率为的椭圆的右焦点是圆的圆心,过椭圆上的动点作圆的两条切线分别交轴于(与点不重合)两点.

(Ⅰ)求椭圆方程;

(Ⅱ)求线段长的最大值,并求此时点的坐标.

练习册系列答案
相关习题

科目:高中数学 来源:2015-2016学年吉林长春十一中高一上学期期中文科数学卷(解析版) 题型:填空题

(a∈R)是奇函数,则实数a=________.

查看答案和解析>>

科目:高中数学 来源:2015-2016学年陕西省西安市高一上学期期中考试数学试卷(解析版) 题型:选择题

设集合, ,则是( )

A、S B、T C、有限集 D、

查看答案和解析>>

科目:高中数学 来源:2016届黑龙江省高三12月月考理科数学试卷(解析版) 题型:解答题

如图,多面体中,四边形是边长为的正方形,,且

(Ⅰ)求证:平面垂直于平面

(Ⅱ)若分别为棱的中点,求证:∥平面

(Ⅲ)求多面体的体积.

查看答案和解析>>

科目:高中数学 来源:2016届河南省郑州市高三上学期联考文科数学试卷(解析版) 题型:填空题

已知,实数满足的最大值为2,则实数______.

查看答案和解析>>

科目:高中数学 来源:2015-2016学年青海省高二期中考试数学试卷(解析版) 题型:解答题

解答下列问题:

(1)求平行于直线3x+4y2=0,且与它的距离是1的直线方程;

(2)求垂直于直线x+3y5=0,且与点P(1,0)的距离是的直线方程.

查看答案和解析>>

科目:高中数学 来源:2015-2016学年广西陆川县中学高一上学期周测九数学试卷(解析版) 题型:选择题

已知函数,若,则实数的取值范围是( )

A. B. C. D.

查看答案和解析>>

科目:高中数学 来源:2015-2016学年江苏省沭阳县高二上学期期中考试数学试卷(解析版) 题型:填空题

图中的伪代码运行后输出的结果是

查看答案和解析>>

科目:高中数学 来源:2016届河北省高三上学期四调文科数学试卷(解析版) 题型:选择题

已知不等式对任意实数都成立,则常数的最小值为( )

A. B. C. D.

查看答案和解析>>

同步练习册答案