精英家教网 > 高中数学 > 题目详情
在△ABC中,已知a,b,c是角A、B、C的对应边,则
①若a>b,则f(x)=(sinA-sinB)•x在R上是增函数;
②若a2-b2=(acosB+bcosA)2,则△ABC是Rt△;
③cosC+sinC的最小值为
④若cos2A=cos2B,则A=B;
⑤若(1+tanA)(1+tanB)=2,则
其中错误命题的序号是   
【答案】分析:①由正弦定理,可知命题正确;②由余弦定理可得acosB+bcosA==c,可得a2=b2+c2;③由三角函数的公式可得,由的范围可得∈(1,];④由cos2A=cos2B,可得A=B或2A=2π-2B,A=π-B,A+B=π(舍);⑤展开变形可得,即tan(A+B)=1,进而可得
解答:解:①由正弦定理,a>b等价于sinA>sinB,∴sinA-sinB>0,∴f(x)=(sinA-sinB)x在R上是增函数,故正确;
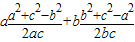
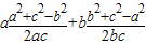
②由余弦定理可得acosB+bcosA==c,故可得a2-b2=c2,即a2=b2+c2,故△ABC是Rt△,故正确;
③由三角函数的公式可得,∵0<c<π,∴c<,∴∈(-,1],
∈(-1,],故取不到最小值为,故错误;
④由cos2A=cos2B,可得A=B或2A=2π-2B,A=π-B,A+B=π(舍),∴A=B,故正确;
⑤展开可得1+tanA+tanB+tanA•tanB=2,1-tanA•tanB=tanA+tanB,
,即tan(A+B)=1,∴,故错误;
∴错误命题是③⑤.
故答案为③⑤
点评:本题考查命题真假的判断与应用,涉及三角函数的知识,属基础题.
练习册系列答案
相关习题

科目:高中数学 来源: 题型:

在△ABC中,已知A、B、C成等差数列,求tg(
A
2
)+
3
tg(
A
2
)tg(
C
2
)+tg(
C
2
)的值.

查看答案和解析>>

科目:高中数学 来源: 题型:

在△ABC中,已知A=45°,a=2,b=
2
,则B等于(  )

查看答案和解析>>

科目:高中数学 来源: 题型:

在△ABC中,已知a=
3
,b=
2
,1+2cos(B+C)=0,求:
(1)角A,B; 
(2)求BC边上的高.

查看答案和解析>>

科目:高中数学 来源: 题型:

在△ABC中,已知A=60°,
AB
AC
=1,则△ABC的面积为
3
2
3
2

查看答案和解析>>

科目:高中数学 来源: 题型:

在△ABC中,已知a=1,b=2,cosC=
34

(1)求AB的长;
(2)求sinA的值.

查看答案和解析>>

同步练习册答案