精英家教网 > 高中数学 > 题目详情

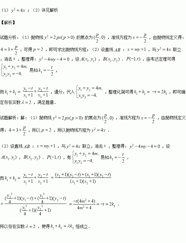
已知抛物线上点到焦点的距离为4.

(1)求抛物线方程;

(2)点为准线上任意一点,为抛物线上过焦点的任意一条弦(如图),设直线的斜率为,问是否存在实数,使得恒成立.若存在,请求出的值;若不存在,请说明理由.

练习册系列答案
相关习题

科目:高中数学 来源:2016届湖南省高三上第三次月考文数学卷(解析版) 题型:解答题

选修4-4:坐标系与参数方程

已知直线的方程为,曲线的方程为

(1)把直线和曲线的方程分别化为直角坐标方程和普通方程;

(2)求曲线上的点到直线距离的最大值.

查看答案和解析>>

科目:高中数学 来源:2015-2016学年吉林省高一上期中理科数学试卷(解析版) 题型:选择题

下列说法正确的是( )

A.第二象限的角比第一象限的角大

B.若,则

C.三角形的内角是第一象限角或第二象限角

D.不论用角度制还是弧度制度量一个角,它们与扇形所对应的半径的大小无关

查看答案和解析>>

科目:高中数学 来源:2015-2016学年广东广州执信中学高一上学期期中数学试卷(解析版) 题型:解答题

如图,是边长为的正三角形,记位于直线)左侧的图形的面积为.试求的解析式,并画出的图象.

查看答案和解析>>

科目:高中数学 来源:2015-2016学年安徽省蚌埠市高一上学期期中数学试卷(解析版) 题型:填空题

已知函数,则

查看答案和解析>>

科目:高中数学 来源:2016届江西省高三上第三次考试理科数学试卷(解析版) 题型:解答题

在如图所示的几何体中,四边形ABCD为矩形,AB=2BC=4,BF=CF=AE=DE,EF=2,EF//AB,AF⊥CF。

(Ⅰ)若G为FC的中点,证明:AF//平面BDG;

(Ⅱ)求平面ABF与平面BCF夹角的余弦值。

查看答案和解析>>

科目:高中数学 来源:2016届黑龙江牡丹江一中高三10月月考文数学试卷(解析版) 题型:解答题

已知函数).

(1)求的最小正周期;

(2)求函数在区间上的取值范围.

查看答案和解析>>

科目:高中数学 来源:2015-2016学年重庆市高一上学期期中数学试卷(解析版) 题型:解答题

集合,且实数

(1)证明:若,则

(2)是否存在实数满足?若存在,求出的值,不存在说明理由.

查看答案和解析>>

科目:高中数学 来源:2015-2016学年河北省高一上学期期中数学试卷(解析版) 题型:选择题

下列函数中,在区间上为增函数的是( )

A. B. C. D.

查看答案和解析>>

同步练习册答案