精英家教网 > 高中数学 > 题目详情
已知函数f(x)=lnx,,设F(x)=f(x)+g(x)。
(Ⅰ)当a=1时,求函数F(x)的单调区间;
(Ⅱ)若以函数y=F(x)(0<x≤3)图象上任意一点为切点的切线斜率恒成立,求实数a的最小值。
解:(Ⅰ)由已知,可得
函数的定义域为

可得在区间单调递增;
可得在(0,1)上单调递减。
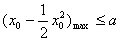
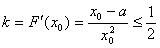
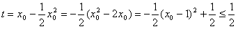
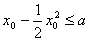
(Ⅱ)由题意,知对任意恒成立,
即有对任意恒成立,即


所以,实数a的最小值为
练习册系列答案
相关习题

科目:高中数学 来源: 题型:

已知函数f(x)=
1
3
x3-
3
2
ax2-(a-3)x+b

(1)若函数f(x)在P(0,f(0))的切线方程为y=5x+1,求实数a,b的值:
(2)当a<3时,令g(x)=
f′(x)
x
,求y=g(x)在[l,2]上的最大值.

查看答案和解析>>

科目:高中数学 来源: 题型:

已知函数f(x)=
1
2
x2-alnx
的图象在点P(2,f(2))处的切线方程为l:y=x+b
(1)求出函数y=f(x)的表达式和切线l的方程;
(2)当x∈[
1
e
,e]
时(其中e=2.71828…),不等式f(x)<k恒成立,求实数k的取值范围.

查看答案和解析>>

科目:高中数学 来源: 题型:

已知函数f(x)=lnx,g(x)=
12
x2+a
(a为常数),直线l与函数f(x)、g(x)的图象都相切,且l与函数f(x)的图象的切点的横坐标为1.
(1)求直线l的方程及a的值;
(2)当k>0时,试讨论方程f(1+x2)-g(x)=k的解的个数.

查看答案和解析>>

科目:高中数学 来源: 题型:

已知函数f(x)=
13
x3+x2+ax

(1)讨论f(x)的单调性;
(2)设f(x)有两个极值点x1,x2,若过两点(x1,f(x1)),(x2,f(x2))的直线l与x轴的交点在曲线y=f(x)上,求a的值.

查看答案和解析>>

科目:高中数学 来源: 题型:

已知函数f(x)=x3-
32
ax2+b
,a,b为实数,x∈R,a∈R.
(1)当1<a<2时,若f(x)在区间[-1,1]上的最小值、最大值分别为-2、1,求a、b的值;
(2)在(1)的条件下,求经过点P(2,1)且与曲线f(x)相切的直线l的方程;
(3)试讨论函数F(x)=(f′(x)-2x2+4ax+a+1)•ex的极值点的个数.

查看答案和解析>>

同步练习册答案