精英家教网 > 高中数学 > 题目详情

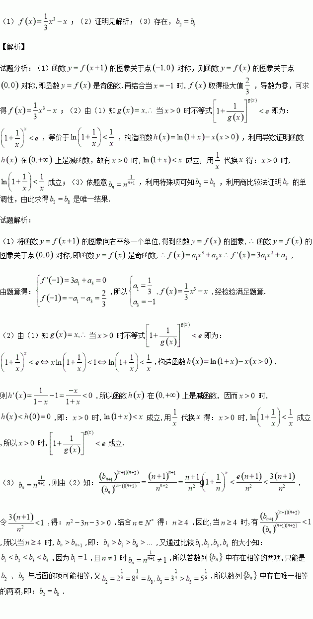
设定义在上的函数,函数,当时,取得极大值,且函数

的图象关于点对称.

(1)求函数的表达式;

(2)求证:当时, 为自然对数的底数);

(3)若,数列中是否存在?若存在,求出所有相等的两项,若不存在,说明理由.

练习册系列答案
相关习题

科目:高中数学 来源:2015-2016学年黑龙江绥棱县一中高二6月月考数学(理)试卷(解析版) 题型:解答题

已知函数.

(Ⅰ)若处取得极值,求实数的值;

(Ⅱ)若恒成立,求实数的取值范围.

查看答案和解析>>

科目:高中数学 来源:2015-2016学年甘肃天水三中高一下学期期中数学试卷(解析版) 题型:选择题

将分针拨慢5分钟,则分针转过的弧度数是

A. B.- C. D.-

查看答案和解析>>

科目:高中数学 来源:2016届辽宁省高三第四次模拟数学(文)试卷(解析版) 题型:选择题

已知点,曲线恒过定点曲线上的动点且的最小值为,则实数( )

A. B. C. D.

查看答案和解析>>

科目:高中数学 来源:2016届辽宁省高三第四次模拟数学(文)试卷(解析版) 题型:选择题

”是“函数不存在零点”的( )

A.充分不必要条件 B.必要不充分条件

C.充要条件 D.即不充分也不必要条件

查看答案和解析>>

科目:高中数学 来源:2016届辽宁省高三第四次模拟数学(理)试卷(解析版) 题型:填空题

为等差数列的前项和, 其中,且,数列的前项和为,若对任意的,都有,则常数的最小值为

查看答案和解析>>

科目:高中数学 来源:2016届辽宁省高三第四次模拟数学(理)试卷(解析版) 题型:选择题

设平面,直线,集合{垂直于的平面},{垂直于的平面},{垂直于的直线},{垂直于的直线},下列四个命题中

①若,则

②若,则

③若异面,则

④若相交,则不正确的为( )

A.①② B.③④ C.①③④ D.②④

查看答案和解析>>

科目:高中数学 来源:2015-2016学年内蒙古高一下期末理数学试卷(解析版) 题型:填空题

若等差数列满足,则当 时,的前项和最大.

查看答案和解析>>

科目:高中数学 来源:2015-2016学年广西河池市高一下月考一数学试卷(解析版) 题型:解答题

某电脑公司备6名产品推销员,其工作年限与年推销金额数据如下表:

(1)求年推销金额关于工作年限的线性回归方程;

(2)若第6名产品推销员的工作年限为11年,试估计他的年推销金额.

参考公式:

查看答案和解析>>

同步练习册答案