精英家教网 > 高中数学 > 题目详情

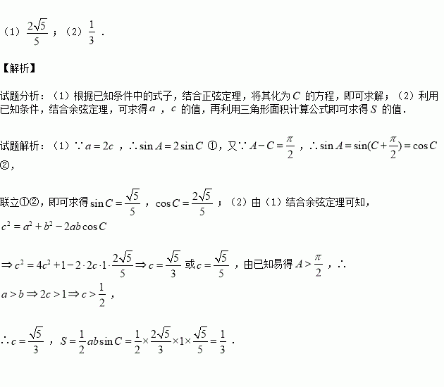
,角所对的边为.已知,且

(1)求的值;

(2)当时,求的面积

练习册系列答案
相关习题

科目:高中数学 来源:2016届四川省高三上学期10月段考理科数学试卷(解析版) 题型:解答题

(本小题满分12分)已知函数是R上的偶函数,其图象关于点M对称

(1)求的值;

(2)求的单调递增区间;

(3)x∈,求f(x)的最大值与最小值.

查看答案和解析>>

科目:高中数学 来源:2016届湖北省、宜昌一中高三10月联考理科数学试卷(解析版) 题型:填空题

是函数的极值点,则的值为

查看答案和解析>>

科目:高中数学 来源:2015-2016学年江西省南昌市高一上学期期中考试数学试卷(解析版) 题型:选择题

已知集合M={x ∈N | 8-x∈N},则M中元素的个数是( ).

A、10 B、9 C、8 D、无数个

查看答案和解析>>

科目:高中数学 来源:2015-2016学年甘肃省嘉峪关市高二上学期期中考试理科数学试卷(解析版) 题型:解答题

(本小题满分12分)已知公差不为0的等差数列的前项和为成等比数列。

(1)求数列的通项公式;

(2)设,数列的最小项是第几项,并求出该项的值.

查看答案和解析>>

科目:高中数学 来源:2016届浙江宁波效实中学高三上期中考试理科数学试卷(解析版) 题型:填空题

已知为三角形的外心,,若,则的最小值为

查看答案和解析>>

科目:高中数学 来源:2016届山东省高三第二次诊断性考试文科数学试卷(解析版) 题型:解答题

(本小题满分12分)

已知函数的最小正周期为

(Ⅰ)求的值及函数的单调递增区间;

(Ⅱ)当时,求函数的取值范围.

查看答案和解析>>

科目:高中数学 来源:2016届河南省原名校高三上学期第一次联考文科数学试卷(解析版) 题型:解答题

(本小题满分12分)已知向量

(1)当时,求的值;

(2)设函数,已知在中,内角的对边分别为,若,求当时,的取值范围.

查看答案和解析>>

科目:高中数学 来源:2015-2016学年福建省师大附高二上期中理科数学试卷(解析版) 题型:选择题

中,内角所对的边分别为,已知,则角的大小为( )

A. B. C. D.

查看答案和解析>>

同步练习册答案