精英家教网 > 高中数学 > 题目详情

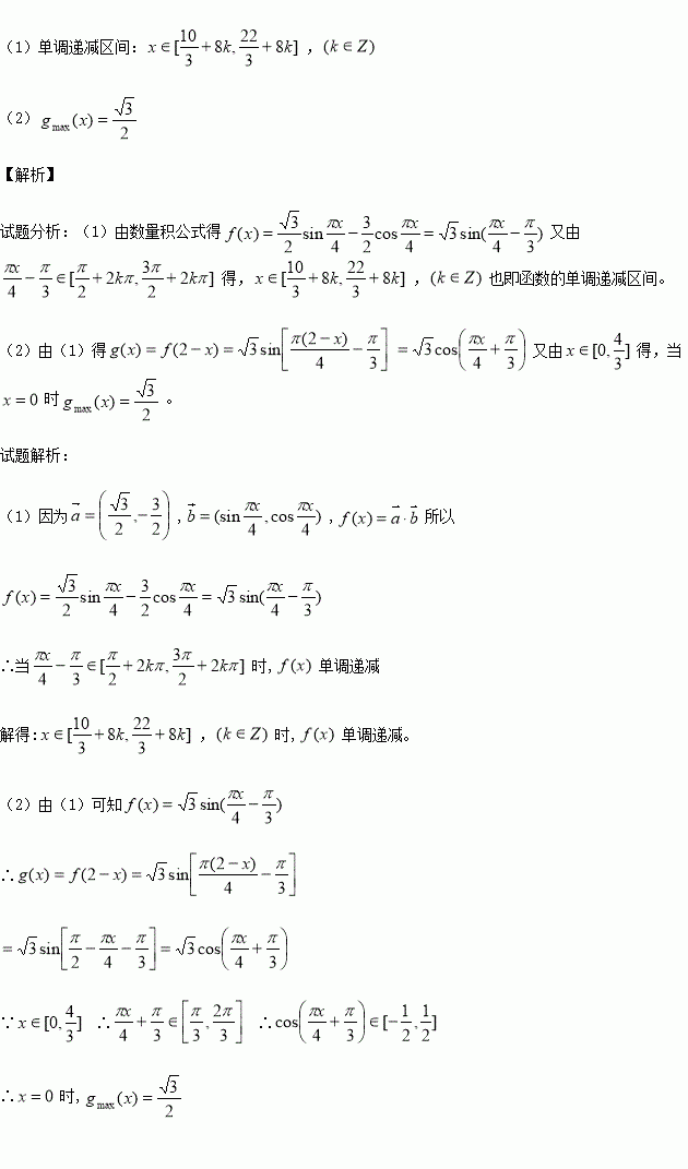
(本小题满分12分)

已知,,?

(1)求的单调递减区间?

(2)若函数,求当时,的最大值?

练习册系列答案
相关习题

科目:高中数学 来源:2015-2016学年江苏省高一上期中考试数学试卷(解析版) 题型:填空题

已知函数,则

查看答案和解析>>

科目:高中数学 来源:2014-2015学年浙江省嵊州市高二下期末检测理科数学A卷(解析版) 题型:填空题

已知实数满足的最小值为 ,该不等式组所围成的区域的面积为

查看答案和解析>>

科目:高中数学 来源:2014-2015学年山西省高二下学期期中理科数学试卷(解析版) 题型:解答题

(本小题满分14分)已知函数f(x)=xln(1+x)-a(x+1),其中a为实常数.

(1)当x∈[1,+∞)时,f′(x)>0恒成立,求a的取值范围;

(2)求函数g(x)=f′(x)-的单调区间.

查看答案和解析>>

科目:高中数学 来源:2014-2015学年山西省高二上学期第一次月考数学试卷(解析版) 题型:填空题

已知球的半径为,求其内接正方体的棱长__________.

查看答案和解析>>

科目:高中数学 来源:2014-2015学年吉林省长春市高一下学期期末理科数学试卷(解析版) 题型:解答题

(本小题满分12分)如图,在四棱柱中,底面是矩形,且.若的中点,且

(1)求证:平面

(2)线段上是否存在一点,使得二面角?若存在,求出的长;不存在,说明理由.

查看答案和解析>>

科目:高中数学 来源:2014-2015学年湖北武汉一中等重点中学高一下学期期中理科数学试卷(解析版) 题型:选择题

给出以下命题:

①存在两个不等实数,使得等式成立;

②若数列是等差数列,且,则

③若是等比数列的前n项和,则成等比数列;

④若是等比数列的前n项和,且,则为零;

⑤已知的三个内角所对的边分别为,若,则一定是锐角三角形。其中正确的命题的个数是( )

A.1个 B.2个 C.3个 D.4个

查看答案和解析>>

科目:高中数学 来源:2014-2015学年甘肃省高一下学期期中考试数学试卷(解析版) 题型:选择题

是第三象限角,且,则( )

A. B. C. D.

查看答案和解析>>

科目:高中数学 来源:2015-2016年湖南湘潭、岳阳一中高一上联考数学试卷(解析版) 题型:选择题

函数的图象与直线的交点有几个 ( )

A. B. C. D.

查看答案和解析>>

同步练习册答案