精英家教网 > 高中数学 > 题目详情

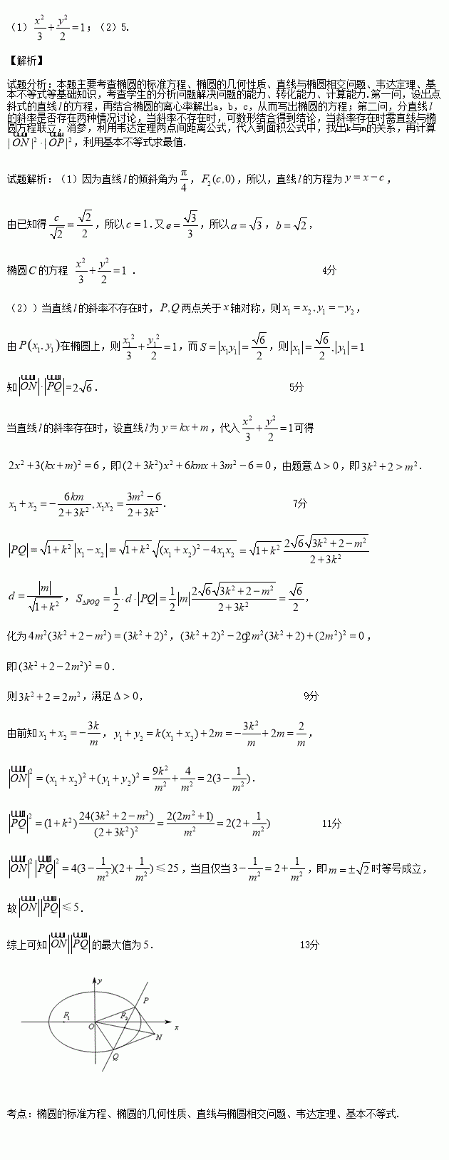
(本小题满分13分)已知椭圆,其中为左、右焦点,且离心率,直线与椭圆交于两不同点.当直线过椭圆C右焦点F2且倾斜角为时,原点O到直线的距离为.

(1)求椭圆C的方程;

(2)若,当面积为时,求的最大值.

练习册系列答案
相关习题

科目:高中数学 来源:2014-2015学年安徽省安庆五校联盟高三下学期3月联考数学理科数学试卷(解析版) 题型:选择题

设函数的图像在点处切线的斜率为,则函数的部分图像为

查看答案和解析>>

科目:高中数学 来源:2014-2015学年四川省遂宁市高三第二次诊断考试理科数学试卷(解析版) 题型:选择题

已知向量,若,则实数的值为( )

A.1 B. C. D.

查看答案和解析>>

科目:高中数学 来源:2014-2015学年上海市高三期末考试文科数学试卷(解析版) 题型:填空题

函数的值域是_________

查看答案和解析>>

科目:高中数学 来源:2014-2015学年上海市高三期末考试文科数学试卷(解析版) 题型:填空题

在等差数列

查看答案和解析>>

科目:高中数学 来源:2014-2015学年山东省日照市高三3月模拟考试文科数学试卷(解析版) 题型:填空题

已知数集具有性质p:对任意,均有 .

查看答案和解析>>

科目:高中数学 来源:2014-2015学年山东省日照市高三3月模拟考试文科数学试卷(解析版) 题型:选择题

函数的图象如图所示,为了得到的图象,则只需将的图象( )

A.向左平移个长度单位 B.向右平移个长度单位

C.向右平移个长度单位 D.向左平移个长度单位

查看答案和解析>>

科目:高中数学 来源:2014-2015学年山东省日照市高三3月模拟考试理科数学试卷(解析版) 题型:填空题

设随机变量,则______.

查看答案和解析>>

科目:高中数学 来源: 题型:


将6位志愿者分成4组,共中两个组各2人,另两个组各1人,分赴世博会的四个不同场馆服务,不同的分配方案有________种

查看答案和解析>>

同步练习册答案