精英家教网 > 高中数学 > 题目详情
如图,正方体ABCD-A1B1C1D1的棱长为a,E为DD1的中点。
(1)求证:BD1//平面EAC;
(2)求点D1到平面EAC的距离。
解:(1)证明:如图,连接BD交AC于F,连EF
因为F为正方形ABCD对角线的交点
所长F为AC、BD的中点
在△DD1B中,E、F分别为DD1、DB的中点,
所以EF//D1B
又EF平面EAC,
所以BD1//平面EAC。
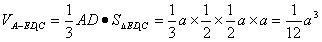
(2)设D1到平面EAC的距离为d
在△EAC中,EF⊥AC,且
所以
于是
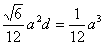
因为
,即
解得
故D1到平面EAC的距离为
练习册系列答案
相关习题

科目:高中数学 来源: 题型:

如图,正方体ABCD-A1B1C1D1的棱长为a,它的各个顶点都在球O的球面上,问球O的表面积.
(1) 如果球O和这个正方体的六个面都相切,则有S=
 

(2)如果球O和这个正方体的各条棱都相切,则有S=
 

精英家教网

查看答案和解析>>

科目:高中数学 来源: 题型:

如图,正方体ABCD-A1B1C1D1中,E,F分别为BB1和A1D1的中点.证明:向量
A1B
B1C
EF
是共面向量.

查看答案和解析>>

科目:高中数学 来源: 题型:

如图,正方体ABCD-A1B1C1D1棱长为8,E、F分别为AD1,CD1中点,G、H分别为棱DA,DC上动点,且EH⊥FG.
(1)求GH长的取值范围;
(2)当GH取得最小值时,求证:EH与FG共面;并求出此时EH与FG的交点P到直线B1B的距离.

查看答案和解析>>

科目:高中数学 来源: 题型:

如图,正方体ABCD-A1B1C1D1中,若E、F、G分别为棱BC、C1C、B1C1的中点,O1、O2分别为四边形ADD1A1、A1B1C1D1的中心,则下列各组中的四个点不在同一个平面上的是(  )

查看答案和解析>>

科目:高中数学 来源: 题型:

精英家教网如图,正方体ABCD-A1B1C1D1中,E、F、G、H分别是所在棱的三等分点,且BF=DE=C1G=C1H=
13
AB

(1)证明:直线EH与FG共面;
(2)若正方体的棱长为3,求几何体GHC1-EFC的体积.

查看答案和解析>>

同步练习册答案