精英家教网 > 高中数学 > 题目详情

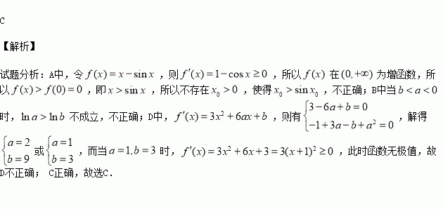
下列命题中,正确的( ).

A.存在,使得

B.“”是“”的充要条件

C.若,则

D.若函数有极值,则

练习册系列答案
相关习题

科目:高中数学 来源:2015-2016学年四川省高一上学期第一学月考数学试卷(解析版) 题型:选择题

设全集U={1,2,3,4,5},集合M={1,4},N={1,3,5},则N∩(∁UM)等于( )

A.{1,3} B.{1,5} C.{3,5} D.{4,5}

查看答案和解析>>

科目:高中数学 来源:2015-2016学年福建厦门双十中学高二上期中文科数学试卷(解析版) 题型:填空题

二次函数y=ax2+bx+c的部分对应点如下表:

则不等式ax2+bx+c<0的解集是_

查看答案和解析>>

科目:高中数学 来源:2016届湖南省常德市高三上第五次月考文科数学试卷(解析版) 题型:选择题

已知向量 夹角为60°,且,则( )

A. B. C. D.2

查看答案和解析>>

科目:高中数学 来源:2016届河南省高三上第八次大考理科数学试卷(解析版) 题型:解答题

选修4-1:几何证明选讲

如图,的直径,相切于为线段上一点,连接分别交两点,连接于点

(Ⅰ)求证:四点共圆;

(Ⅱ)若的三等分点且靠近,求线段的长.

查看答案和解析>>

科目:高中数学 来源:2015-2016学年湖南师大附中高二上学期第三次检测数学卷(解析版) 题型:选择题

函数的图象大致是( )

查看答案和解析>>

科目:高中数学 来源:2015-2016学年云南省蒙自市高二10月月考文科数学试卷(解析版) 题型:解答题

如图,在三棱锥中,平面平面为等边三角形,分别为的中点;

(1)求证:

(2)求三棱锥的体积.

查看答案和解析>>

科目:高中数学 来源:2015-2016学年四川省雅安市高二11月月考理科数学试卷(解析版) 题型:解答题

如图,已知四棱锥P-ABCD的底面ABCD为正方形,PD⊥底面ABCD,PD=DC, 点E是PC的中点,作交PB于点F.

(1)求证:PB⊥平面EFD;

(2)求二面角C-PB-D的大小.

查看答案和解析>>

科目:高中数学 来源:2015-2016学年吉林省高一上学期期末数学试卷(解析版) 题型:选择题

函数的定义域为( )

(A) (B)

(C) (D)

查看答案和解析>>

同步练习册答案