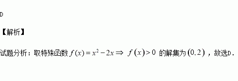
精英家教网 > 高中数学 > 题目详情

已知在偶函数,且单调递减,若,则的解集为( )

A. B. C. D.

练习册系列答案
相关习题

科目:高中数学 来源: 题型:选择题

4.已知集合A={x|2x2+3x-2<0},集合B={x|x>a},如果“x∈A”是“x∈B”的充分不必要条件,则实数a的取值范围是(  )
A.a≤-2B.a<-2C.a>-2D.a≥-2

查看答案和解析>>

科目:高中数学 来源:2017届广东华南师大附中高三综合测试一数学(文)试卷(解析版) 题型:填空题

平面向量中,若,且,则向量__________.

查看答案和解析>>

科目:高中数学 来源:2017届广东华南师大附中高三综合测试一数学(理)试卷(解析版) 题型:解答题

已知定义为的函数满足下列条件:①对任意的实数都有:

;②当时,

(1)求

(2)求证:上为增函数;

(3)若,关于的不等式对任意恒成立,求实数的取值范围.

查看答案和解析>>

科目:高中数学 来源:2017届广东华南师大附中高三综合测试一数学(理)试卷(解析版) 题型:填空题

已知集合,若,则实数的所有可能取值的集合为____________.

查看答案和解析>>

科目:高中数学 来源:2017届广东华南师大附中高三综合测试一数学(理)试卷(解析版) 题型:选择题

,则“”是“”的( )

A.充分不必要条件 B.必要不充分条件

C.充分必要条件 D.既不充分也不必要条件

查看答案和解析>>

科目:高中数学 来源: 题型:选择题

4.已知全集U=R,集合A={x|$\frac{x+1}{x-1}$≥0},B={x||2x-1|≥1},则B∩∁UA等于(  )
A.{x|-1<x≤0}B.{x|0≤x<1}C.{x|-1<x≤0,或x=1}D.{x|0≤x<1,或x=-1}

查看答案和解析>>

科目:高中数学 来源: 题型:解答题

1.比较2n与2n+1的大小并证明.

查看答案和解析>>

科目:高中数学 来源: 题型:解答题

2.已知等比数列{an}满足a10=384,公比q=2,求数列的通项an以及前n项和Sn

查看答案和解析>>

同步练习册答案