精英家教网 > 高中数学 > 题目详情
已知等比数列{an}的前n项和为Sn=a·2n+b,且a1=3.
(1)求a、b的值及数列{an}的通项公式;
(2)设bn=,求数列{bn}的前n项和Tn
解:(1)∵等比数列{an}的前n项和为Sn=a·2n+b,且a1=3.
∴a1=2a+b=3,a2=4a+b﹣(2a+b)=2a,a3=(8a+b)﹣(4a+b)=4a,
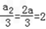
∴公比q==2.
,∴a=3,b=﹣3.
∴an=3·2n﹣1
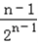
(2)bn==,Tn=(1+++…+)④
Tn=++…++)⑤
④﹣⑤得:Tn=(1+++…+)=
=(2﹣)=(1﹣),
∴Tn=(1﹣).
练习册系列答案
相关习题

科目:高中数学 来源: 题型:

5、已知等比数列{an}的前n项和为Sn,公比q≠1,若S5=3a4+1,S4=2a3+1,则q等于(  )

查看答案和解析>>

科目:高中数学 来源: 题型:

已知等比数列{an}中,a2=9,a5=243.
(1)求{an}的通项公式;
(2)令bn=log3an,求数列{
1bnbn+1
}的前n项和Sn

查看答案和解析>>

科目:高中数学 来源: 题型:

已知等比数列{an}满足a1•a7=3a3a4,则数列{an}的公比q=
3
3

查看答案和解析>>

科目:高中数学 来源: 题型:

已知等比数列{an}中a1=64,公比q≠1,且a2,a3,a4分别为某等差数列的第5项,第3项,第2项.
(Ⅰ)求数列{an}的通项公式;
(Ⅱ)设bn=log2an,求数列{|bn|}的前n项和Tn

查看答案和解析>>

科目:高中数学 来源: 题型:

已知等比数列{an}中,a3+a6=36,a4+a7=18.若an=
12
,则n=
9
9

查看答案和解析>>

同步练习册答案