精英家教网 > 高中数学 > 题目详情

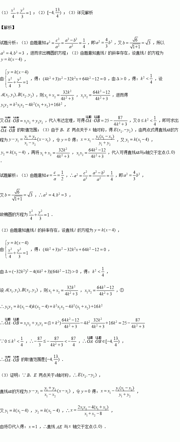
已知椭圆的离心率为,以原点为圆心,椭圆的短半轴为半径的圆与直线相切,过点且不垂直于x轴直线与椭圆C相交于A、B两点.

(1)求椭圆C的方程;

(2)求的取值范围;

(3)若B点关于x轴的对称点是E,证明:直线AE与x轴相交于定点.

练习册系列答案
相关习题

科目:高中数学 来源:2016届湖南省株洲市高三上学期期中文科数学试卷(解析版) 题型:解答题

如图,在几何体中,四边形均为边长为1的正方形.

(1)求证:

(2)求该几何体的体积.

查看答案和解析>>

科目:高中数学 来源:2015-2016学年湖南师大附中高二上学期期中文科数学试卷(解析版) 题型:填空题

若实数满足,则的最小值是_________.

查看答案和解析>>

科目:高中数学 来源:2014-2015学年贵州省高二上学期半期考试文科数学试卷(解析版) 题型:选择题

执行右面的程序框图,如果输入的,则输出的属于( )

A、 B、 C、 D、

查看答案和解析>>

科目:高中数学 来源:2014-2015学年广东省心学校高一上学期期末数学试卷(解析版) 题型:选择题

设集合A ={3,5,6,8},集合B ={4,5, 7,8},则A∩B等于( )

A.{3,4,5,6,7,8}

B.{5,8}

C.{4,7}

D.{3,6}

查看答案和解析>>

科目:高中数学 来源:2016届四川省成都市高三11月阶段测试理科数学试卷(解析版) 题型:选择题

命题“”的否定为( )

A. B.

C. D.

查看答案和解析>>

科目:高中数学 来源:2016届湖南师范大学附中高三上学期月考三理科数学试卷(解析版) 题型:解答题

如图,已知抛物线的焦点为,椭圆的中心在原点,为其右焦点,点为曲线在第一象限的交点,且

(1)求椭圆的标准方程;

(2)设为抛物线上的两个动点,且使得线段的中点在直线上,

为定点,求面积的最大值.

查看答案和解析>>

科目:高中数学 来源:2016届福建省高三上学期半期考试文科数学试卷(解析版) 题型:解答题

已知函数,e为自然对数的底数.

(Ⅰ)若过点A(2,f(2))的切线斜率为2,求实数a的值;

(Ⅱ)当x>0时,求证:

(Ⅲ)在区间(1,e)上恒成立,求实数a的取值范围.

查看答案和解析>>

科目:高中数学 来源:2016届山东省高三11月月考数学试卷(解析版) 题型:填空题

设函数,若,则=_______.

查看答案和解析>>

同步练习册答案