精英家教网 > 高中数学 > 题目详情

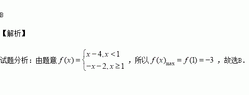
表示a,b两个数中的最小值,设,则的最大值为( )

A.-2 B.-3 C.-4 D.-6

练习册系列答案
相关习题

科目:高中数学 来源:2016届北京市朝阳区高三上学期期中统一考试理科数学试卷(解析版) 题型:选择题

已知定义在R上的函数.若方程有三个不相等的实数根,则实数k的取值范围是( )

A. B. C. D.

查看答案和解析>>

科目:高中数学 来源:2016届辽宁省沈阳市高三上学期期中理科数学试卷(解析版) 题型:填空题

设首项不为零的等差数列项之和是,若不等式对任意和正整数恒成立,则实数的最大值为

查看答案和解析>>

科目:高中数学 来源:2015-2016学年山西省高二上期中文科数学试卷(解析版) 题型:选择题

中,,M为AB的中点,将沿CM折起,使间的距离为,则M到平面ABC的距离为

A. B. C.1 D.

查看答案和解析>>

科目:高中数学 来源:2015-2016学年山西省高二上期中理科数学试卷(解析版) 题型:选择题

直线上的点与原点的距离的最小值是

A.2 B. C. D.

查看答案和解析>>

科目:高中数学 来源:2015-2016学年江苏省高一创新班上期中数学试卷(解析版) 题型:填空题

查看答案和解析>>

科目:高中数学 来源:2015-2016学年吉林省高一上期中文科数学试卷(解析版) 题型:解答题

在平面直角坐标系中,点在角的终边上,点在角β的终边上,点在角终边上.

(1)求的值;

(2)求的值.

查看答案和解析>>

科目:高中数学 来源:2015-2016学年湖北孝感高中高二上学期期中理科数学试卷(解析版) 题型:解答题

设有关于x的一元二次方程

(1)若是从0,1,2,3四个数中任取的一个数,是从0,1,2三个数中任取的一个数,求上述方程有实根的概率.

(2)若是从区间任取得一个数,是从区间任取的一个数,求上述方程有实根的概率.

查看答案和解析>>

科目:高中数学 来源:2016届贵州省高三上学期第三次月考理科数学试卷(解析版) 题型:填空题

已知向量的夹角为,且,则

查看答案和解析>>

同步练习册答案