精英家教网 > 高中数学 > 题目详情

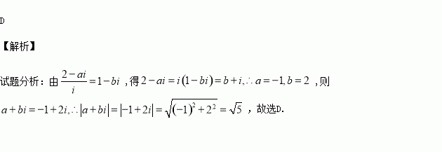
已知复数,其中是虚数单位,则( )

A. B. C. D.

练习册系列答案
相关习题

科目:高中数学 来源:2017届重庆第八中学高三上学期第一次月考数学(文)试卷(解析版) 题型:选择题

已知向量,则( )

A. B. C. D.

查看答案和解析>>

科目:高中数学 来源:2017届山西怀仁县一中高三上学期开学考数学(文)试卷(解析版) 题型:选择题

下表是某工厂1—4月份用电量(单位:万度)的一组数据:

月份

1

2

3

4

用电量

4.5

4

3

2.5

由散点图可知,用电量与月份间有较好的线性相关关系,其线性回归直线方程是,则( )

A.10.5 B.5.25 C.5.2 D.5.15

查看答案和解析>>

科目:高中数学 来源:2017届山西怀仁县一中高三上学期开学考数学(理)试卷(解析版) 题型:填空题

已知,则向量的夹角是

查看答案和解析>>

科目:高中数学 来源:2017届山西怀仁县一中高三上学期开学考数学(理)试卷(解析版) 题型:选择题

,其中变量满足的最大值为6,则的最小值为( )

A. B. C. D.

查看答案和解析>>

科目:高中数学 来源:2017届江西上高县二中高三上学期开学考数学(理)试卷(解析版) 题型:解答题

已知的定义域为

(1)求的值;

(2)若,且关于的方程上有解,求的取值范围.

查看答案和解析>>

科目:高中数学 来源:2017届江西上高县二中高三上学期开学考数学(理)试卷(解析版) 题型:选择题

设集合,若中恰含有一个整数,则实数的取值范围是( )

A. B. C. D.

查看答案和解析>>

科目:高中数学 来源:2016-2017学年河北武邑中学高二上周考9.4文数学试卷(解析版) 题型:填空题

如图所示,在长方体中,则在长方体表面上连接两点的所有曲线长度最小值为

查看答案和解析>>

科目:高中数学 来源:2016-2017学年河北武邑中学高二上周考8.28文数试卷(解析版) 题型:填空题

已知,则当 时,直线的倾斜角为直角.

查看答案和解析>>

同步练习册答案