精英家教网 > 高中数学 > 题目详情
已知椭圆的长轴是短轴的3倍,且过点A(3,0),并且以坐标轴为对称轴,求椭圆的标准方程.
【答案】分析:根据题意可得分情况讨论:若椭圆的焦点在x轴上,设方程为;若椭圆的焦点在y轴上,设方程为,再结合题中的条件可得椭圆的标准方程.
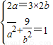
解答:解:若椭圆的焦点在x轴上,设方程为
由题意解得
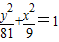
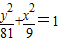
∴椭圆的方程为
若椭圆的焦点在y轴上,设方程为
由题意解得
∴椭圆方程为
故椭圆方程为,或
点评:解决此类问题的关键是熟练掌握椭圆的性质,以及椭圆的坐标方程.
练习册系列答案
相关习题

科目:高中数学 来源: 题型:

已知椭圆的长轴是短轴的3倍,长轴和短轴都在坐标轴上,且过点A(3,0),求椭圆的方程.

查看答案和解析>>

科目:高中数学 来源: 题型:

已知椭圆的长轴是短轴的3倍,且过点A(3,0),并且以坐标轴为对称轴,求椭圆的标准方程.

查看答案和解析>>

科目:高中数学 来源: 题型:

已知椭圆的长轴是短轴的倍,且过点,并且以坐标轴为对称轴,


求椭圆的标准方程。

查看答案和解析>>

科目:高中数学 来源:不详 题型:解答题

已知椭圆的长轴是短轴的3倍,且过点A(3,0),并且以坐标轴为对称轴,求椭圆的标准方程.

查看答案和解析>>

科目:高中数学 来源:同步题 题型:解答题

已知椭圆的长轴是短轴的3 倍,且过点A(3,0),并且以坐标轴为对称轴,求椭圆的标准方程.

查看答案和解析>>

同步练习册答案