精英家教网 > 高中数学 > 题目详情

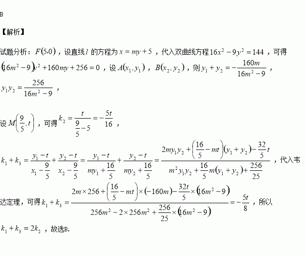
经过双曲线右焦点的直线交双曲线于两点,点是直线上任意一点,直线的斜率分别为,则( )

A. B. C. D.

练习册系列答案
相关习题

科目:高中数学 来源:2016届山西省等四校高三下第四次联考理科数学试卷(解析版) 题型:填空题

已知函数的图象如图所示,它与轴在原点相切,且轴与函数图象所围成的区域(如图阴影部分)的面积为,则的值为_________

查看答案和解析>>

科目:高中数学 来源:2015-2016学年四川省高二下期中文科数学试卷(解析版) 题型:解答题

已知双曲线的实轴长为,一个焦点的坐标为.

(1)求双曲线的方程;

(2)若斜率为2的直线交双曲线交于两点,且,求直线的方程.

查看答案和解析>>

科目:高中数学 来源:2015-2016学年四川省高二下期中文科数学试卷(解析版) 题型:选择题

椭圆上一点到焦点的距离等于6,则点到另一个焦点的距离为( )

A.10 B.8 C.4 D.3

查看答案和解析>>

科目:高中数学 来源:2015-2016学年四川省高二下期中理科数学试卷(解析版) 题型:填空题

已知椭圆,过点的直线与椭圆交于不同两点之间),有以下四个结论:

①若,则的取值范围是

②若是椭圆的右顶点,且的角平分线是轴,则直线的斜率为

③若以为直径的圆过原点,则直线的斜率为

④若,椭圆变成曲线,点变成,曲线轴交于点,则直线的交点必在一条定直线上.

其中正确的序号是 .

查看答案和解析>>

科目:高中数学 来源:2015-2016学年四川省高二下期中理科数学试卷(解析版) 题型:选择题

抛物线上与焦点的距离等于9的点的坐标是( )

A. B.

C. D.

查看答案和解析>>

科目:高中数学 来源:2015-2016学年西藏日喀则一中高二4月月考文科数学试卷(解析版) 题型:解答题

已知椭圆的离心率为,短轴的一个端点为,过椭圆左顶点的直线与椭圆的另一交点为.

(1)求椭圆的方程;

(2)若与直线交于点的值;

(3)若,求直线的倾斜角.

查看答案和解析>>

科目:高中数学 来源:2015-2016学年西藏日喀则一中高二4月月考文科数学试卷(解析版) 题型:选择题

椭圆的两个焦点为,过作垂直于轴的直线与椭圆相交,为一个交点,则( )

A. B. C. D.4

查看答案和解析>>

科目:高中数学 来源:2015-2016学年河北省高一3月月考文科数学试卷(解析版) 题型:选择题

函数y=2sin(ωx+φ),|φ|<的图象如图所示,则 ( )

A.ω=,φ= B.ω=,φ= -

C.ω=2,φ= D.ω=2,φ= -

查看答案和解析>>

同步练习册答案