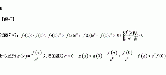
精英家教网 > 高中数学 > 题目详情

已知可导函数满足,则当时,大小关系为

A. B.

C. D.

练习册系列答案
相关习题

科目:高中数学 来源:2015-2016学年四川省实验学校高二上学期期中文科数学试卷(解析版) 题型:选择题

下列四个命题中,其中真命题的是

A.如果两个平面有三个公共点,那么这两个平面重合

B.两条直线可以确定一个平面

C.若

D.空间中,相交于同一点的三条直线在同一平面内

查看答案和解析>>

科目:高中数学 来源:2016届福建省高三上学期期中文科数学试卷(解析版) 题型:解答题

等差数列的前n项和为,且满足

(1)求数列的通项公式;

(2)设,数列的前项和为,求证:

查看答案和解析>>

科目:高中数学 来源:2015-2016学年甘肃省高一上期中数学试卷(解析版) 题型:填空题

若函数的定义域为,值域为,则m的取值范围是

查看答案和解析>>

科目:高中数学 来源:2015-2016学年安徽省合肥市高一上学期期中数学试卷(解析版) 题型:选择题

已知函数),若,则( )

A. B. C. D.

查看答案和解析>>

科目:高中数学 来源:2015-2016学年广东省清远市实验学校高一上学期期中数学试卷(解析版) 题型:选择题

三个数60.7、0.76、㏒0.76的大小顺序是( )

A.0.76<㏒0.76<60.7 B.0.76<60.7<㏒0.76

C.㏒0.76<0.76<60.7 D.㏒0.76<60.7<0.76

查看答案和解析>>

科目:高中数学 来源:2015-2016学年广东省普宁市华美实验学校高一上学期期中数学试卷(解析版) 题型:选择题

计算的结果是( )

A.2 B.log62 C.log63 D.3

查看答案和解析>>

科目:高中数学 来源:2015-2016学年河北省高一上学期期中考试理科数学试卷(解析版) 题型:解答题

设函数(a>0且a≠1)是奇函数.

(1)求常数k的值;

(2)若已知f(1)=,且函数在区间[1,+∞])上的最小值为—2,求实数m的值.

查看答案和解析>>

科目:高中数学 来源:2016届湖南省高三上第三次月考文数学卷(解析版) 题型:解答题

已知椭圆C:的离心率为,左、右焦点分别为,点在椭圆C上,且的面积为

(1)求椭圆的方程;

(2)直线与椭圆相交于两点.点,记直线的斜率分别为,当最大时,求直线的方程.

查看答案和解析>>

同步练习册答案