精英家教网 > 高中数学 > 题目详情
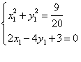
已知圆C:
(1)若圆C的切线在x轴和y轴上的截距相等,且截距不为零,求此切线的方程;
(2)从圆C外一点向该圆引一条切线,切点为M,O为坐标原点,且有|PM|=|PO|,求使得|PM|取得最小值的点P的坐标。
解:(1)切线在两坐标轴上的截距相等且截距不为零,
所以,设切线方程为x+y=a,(a≠0),
又∵圆C:
∴圆心C(-1,2)到切线的距离等于圆的半径

所以,所求切线的方程为:x+y+1=0或x+y-3=0。
(2)∵切线PM与半径CM垂直,



∴动点P的轨迹是直线2x-4y+3=0,|PM|的最小值就是|PO|的最小值,
而|PO|的最小值为O到直线2x-4y+3=0的距离

∴所求点坐标为P
练习册系列答案
相关习题

科目:高中数学 来源: 题型:

已知圆C:x2+y2=1,点P(x0,y0)在直线x-y-2=0上,O为坐标原点,若圆C上存在一点Q,使∠OPQ=30°,则x0的取值范围是
[0,2]
[0,2]

查看答案和解析>>

科目:高中数学 来源: 题型:

已知圆C:

  (1)若不经过坐标原点的直线与圆C相切,且直线在两坐标轴上的截距相等,求直线的方程;

  (2)设点P在圆C上,求点P到直线距离的最大值与最小值

查看答案和解析>>

科目:高中数学 来源:2012-2013学年江西省高二第一次月考理科数学试卷(解析版) 题型:解答题

已知圆 C方程为.

(1)若圆C与直线相交于M、N两点,且OM⊥ON(O为坐标原点),求m;

(2)在(1)的条件下,求以MN为直径的圆的方程.

 

查看答案和解析>>

科目:高中数学 来源:2010年浙江省杭州市七校高二上学期期中考试数学文卷 题型:解答题

(本小题12分)

已知圆C:

(1)若直线且与圆C相切,求直线的方程.

(2)是否存在斜率为1直线,使直线被圆C截得弦AB,以AB为直径的圆经过原点O. 若存在,求

    出直线的方程;若不存在,说明理由.

 

查看答案和解析>>

同步练习册答案