精英家教网 > 高中数学 > 题目详情

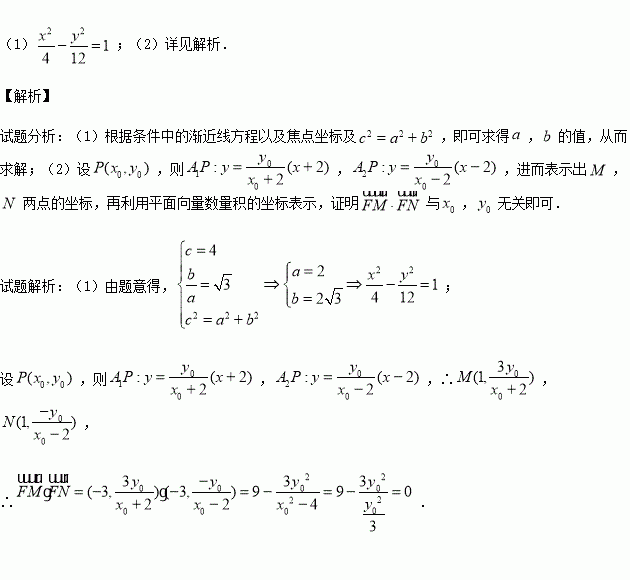
(本题满分10分)已知双曲线的中心在原点,对称轴为坐标轴,一条渐近线为,右焦点,左右顶点分别为为双曲线上一点(不同于),直线分别与直线交于两点;

(1)求双曲线的方程;

(2)求证:为定值,并求此定值.

练习册系列答案
相关习题

科目:高中数学 来源:2015-2016学年四川省高一上学期第一学月考数学试卷(解析版) 题型:填空题

给出下列两个集合间的对应:

(1)中的数的平方

(2)中的数的开方

(3)中的数的倒数

(4)中的数取绝对值

(5)A={1,2,3,4},B={2,4,6,8},f:n=2m;

其中是A到B的函数有__ ___个.

查看答案和解析>>

科目:高中数学 来源:2014-2015年河北保定一中高二下第一次段考理数学试卷(解析版) 题型:解答题

(本题满分12分)如图所示,平行六面体ABCD—A1B1C1D1中,以顶点A为端点的三条棱长都为1,且两两夹角为60°.

(1)求AC1的长;

(2)求BD1与AC夹角的余弦值.

查看答案和解析>>

科目:高中数学 来源:2014-2015学年河北省高二上第二次段考理科数学试卷(解析版) 题型:选择题

过点(2,0)且与直线x﹣2y﹣1=0垂直的直线方程是( )

A.x﹣2y﹣2=0 B.x﹣2y+2=0 C.2x+y﹣4=0 D.x+2y﹣2=0

查看答案和解析>>

科目:高中数学 来源:2016届重庆市高三上学期期中文科数学试卷(解析版) 题型:填空题

,当取得极大值,当取得极小值,则的取值范围是

查看答案和解析>>

科目:高中数学 来源:2015-2016年浙江宁波效实中学高二1,2班上期中数学卷(解析版) 题型:解答题

抛物线的准线过双曲线的一个焦点.

(1)求抛物线C的方程;

(2)设M为抛物线C上任意一点.

①设,求距离之和的最小值;

②以M为切点的抛物线的切线交于点N,试问轴上是否存在定点Q,使Q在以MN为直径的

圆上.若存在,求出点Q坐标,若不存在,说明理由.

查看答案和解析>>

科目:高中数学 来源:2015-2016学年河北省高一上学期期中数学试卷(解析版) 题型:填空题

上的奇函数,则实数的值为

查看答案和解析>>

科目:高中数学 来源:2016届浙江省高三期中文科数学试卷(解析版) 题型:选择题

已知棱长为2的正方体是过顶点圆上的一点,中点,则与面所成角余弦值的取值范围是( )

A. B. C. D.

查看答案和解析>>

科目:高中数学 来源:2016届甘肃省高三上学期期中文科数学试卷(解析版) 题型:解答题

(本小题满分10分)选修4-1:几何证明选讲

如图,AB是⊙O的一条切线,切点为B,直线ADE,CFD,CGE都是⊙O的割线,已知AC=AB.

(1)若CG=1,CD=4,求的值.

(2)求证:FG//AC;

查看答案和解析>>

同步练习册答案